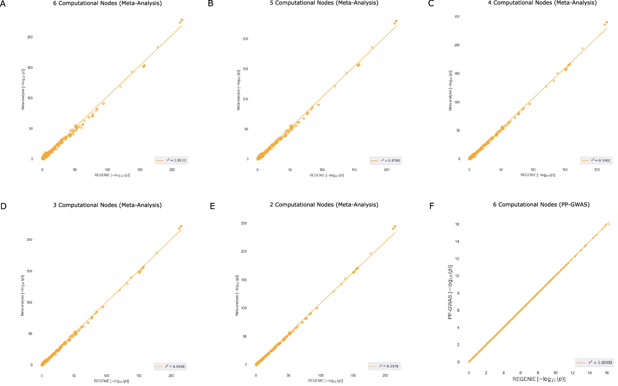
Fig. 6: Accuracy comparison of PP-GWAS against meta-analysis.
From: PP-GWAS: Privacy Preserving Multi-Site Genome-wide Association Studies

A–F Scatter correlation plots to compare the performance of meta-analysis with varying computational nodes against PP-GWAS on the AMD dataset. Pearson correlation (two-sided) between the \(-{\log }_{10}(p)\) values is reported. No multiple-testing correction was applied to these correlation tests.