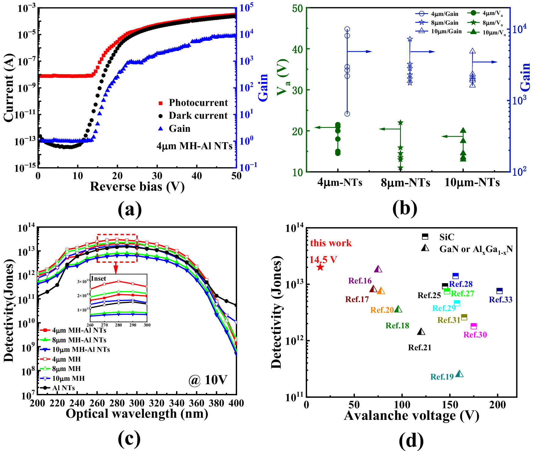
Fig. 2: Photoelectrical characterization and domestic-international comparison.
From: Local avalanche photodetectors driven by lightning-rod effect and surface plasmon excitations

a The photocurrent, dark current, and gain versus voltage characteristics of the 4H–SiC p-i-n APDs with 4 μm MH and Al NTs. b Histograms of error analysis for the avalanche breakdown voltage (Va) and gain of APDs with Al NTs and MHs of different diameters (4 μm, 8 μm, and 10 μm). c The corresponding detectivity of APD devices with MHs without Al NTs, with MHs with Al NTs, and without MHs with Al NTs in the wavelength range of 200 nm to 400 nm at 10 V bias. The inset shows detectivity from 260 nm to 300 nm. d Comparison of detectivity at unity gain and avalanche breakdown voltage with other work (including 4H–SiC, GaN and AlxGa1-xN APDs).