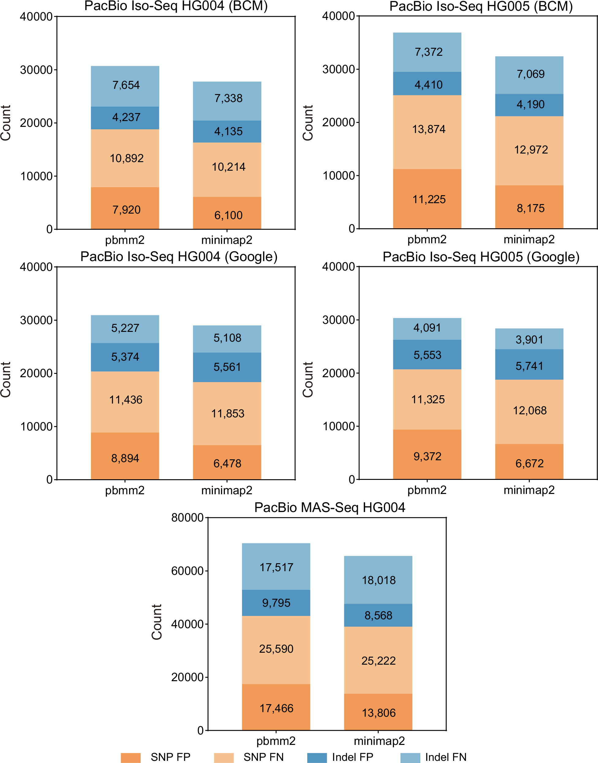
Fig. 4: Clair3-RNA PacBio performance using different aligners.
From: Clair3-RNA: a deep learning-based small variant caller for long-read RNA sequencing data

This is a comparison of false positive (FP) and false negative (FN) using different alignment methods on PacBio datasets. minimap2 aligner exhibits lower FPs and FNs than pbmm2 in benchmarking datasets. The alignment parameter settings for pbmm2 and minimap2 are described in the Supplementary Notes − Command line used section. Source data are provided as a Source Data file.