Fig. 5: Performance evaluation under different settings.
From: Clair3-RNA: a deep learning-based small variant caller for long-read RNA sequencing data

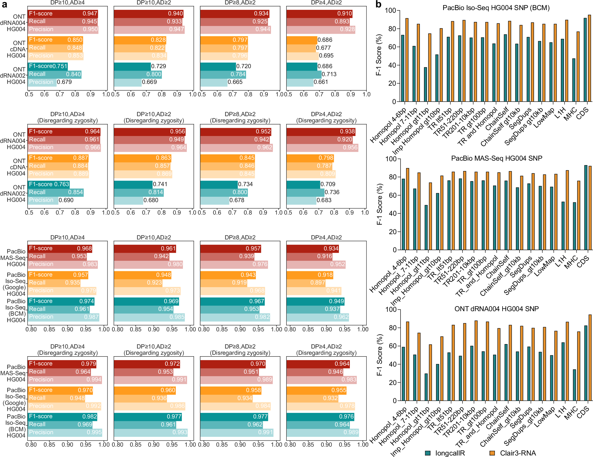
a This shows Clair3-RNA’s SNP performance on different datasets for different coverage depth (DP) and allele depth (AD) settings. The performance of “Disregarding zygosity” was determined by enabling the “--skip_genotyping” option when using the “get_overall_metrics” for metrics calculation. b This shows the SNP performance comparison between Clair3-RNA and LongcallR in different genomic contexts. The figure was created using Genome in a Bottle stratification v3 and hap.py. Detailed descriptions of each sub-category are provided in the Supplementary Table 9. Source data are provided as a Source Data file.