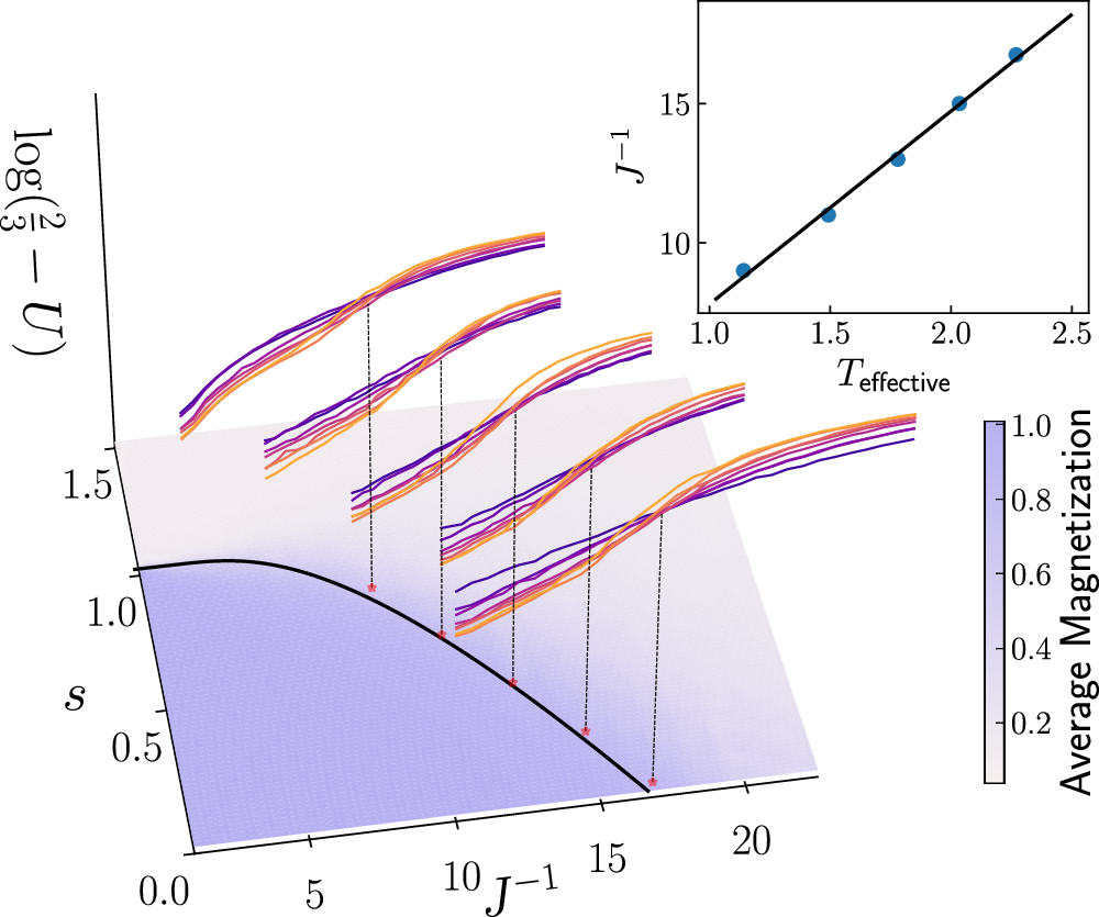
Fig. 2: Critical points extracted from Binder cumulant crossings overlaid on magnetization.

The critical inverse energy scale \({J}_{c}^{-1}\) is located for 5 values of s using the intersection of Binder cumulant curves for various system sizes (indicated by different colors unrelated to the color-bar). Using the exact solution Tc(s) and \({J}_{c}^{-1}(s)\) extracted from QA samples, we plot \({J}_{c}^{-1}\) as a function of the effective sampling temperature T. We find that \({J}_{c}^{-1}\) is linearly proportional to T, consistent with the initial assumption Eq. (3) (see inset). In the main figure, we show the ferromagnetic order parameter (i.e., 〈∣m∣〉) for a toroidal system of size 12 × 12, as a function of s and J−1, along with the \({J}_{c}^{-1}\) extracted from five different values of s. \({J}_{c}^{-1}(s)\) is inferred from the linear fit and the analytical expression for the critical line, and clearly separates the ferromagnetic phase from the paramagnetic phase.