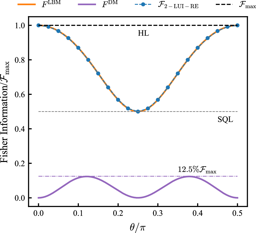
Fig. 5: Fisher Information for Different Measurement Strategies in the 2-LUI-RE Protocol.
From: Informationally complete distributed metrology without a shared reference frame

The QFI of the protocol (blue dashed-dotted line) represents the ultimate precision bound. The CFI from the optimal LBM (orange solid line) perfectly saturates the Cramér-Rao bound, while the CFI from a naive DM (purple solid line) performs dramatically worse, falling far below the SQL.