Fig. 4: Absolute latitude partially explains across-study variation in the path coefficients estimated using our conceptual framework (Fig. 1).
From: Changes in phenology mediate vertebrate population responses to temperature globally

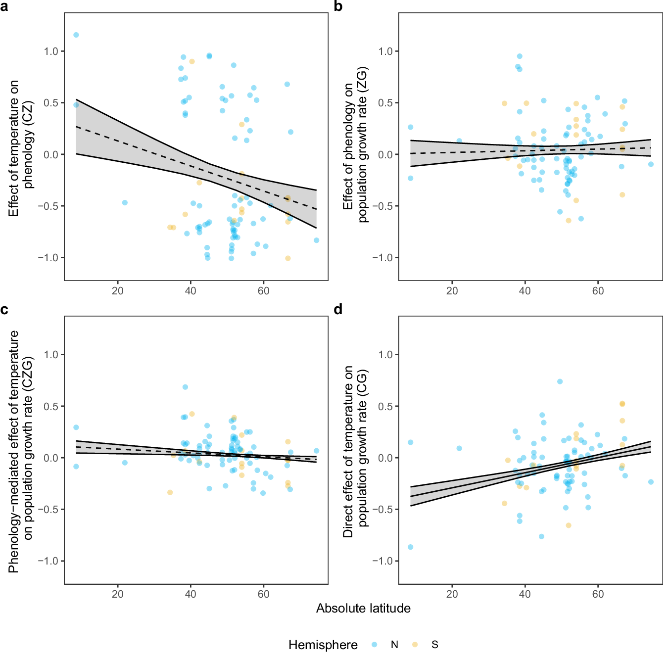
a The sensitivity of phenology to temperatured (CZ) tends to increase from the equator to the poles (two-sided Wald test: \({\chi }^{2}\) = 5.6, df = 1, p = 0.018, β = −0.015 ± 0.006); The association between phenology and population growth rate (ZG, b) and the phenology-mediated effect of temperatured on population growth rate (CZG, c) do not change significantly with latitude (two-sided Wald tests: \({\chi }^{2}\) = 0.1, df = 1, p = 0.787, β = −0.001 ± 0.003 and \({\chi }^{2}\) = 0.14, df = 1, p = 0.285, β = −0.002 ± 0.001, respectively); d the effect of temperatured on population growth rate via all other non-considered traits (‘direct’ effect of temperature) switches from negative at the equator towards being close to zero and even positive at high latitudes (two-sided Wald test: \({\chi }^{2}\) = 14.2, df = 6, p = 0.0002, β = 0.008 ± 0.002). The p-value threshold adjusted for multiple comparisons is 0.01. Data lines and shaded regions show model fits and ±1 standard deviation, respectively (solid line for the significant effects, and dashed line for non-significant effects). The points show the raw data. Although the models were fitted with grand-mean centred predictors, we here show the original values of absolute latitude, to aid interpretation.