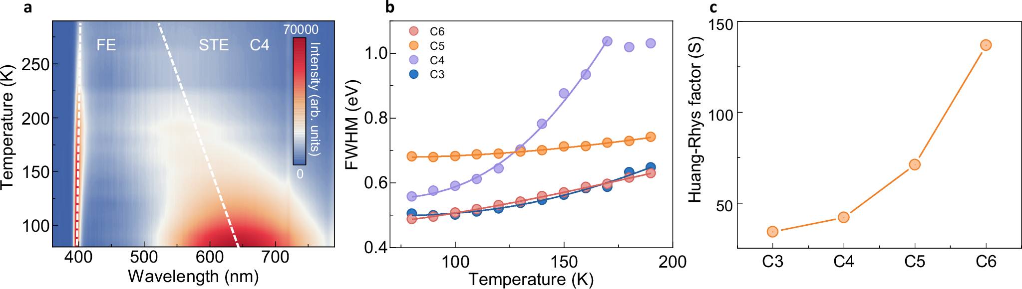
Fig. 2: Cyclic organic cation-dependent electron-phonon coupling strength in 2D lead bromide perovskites.
From: Regulating Pb off-centering distortion for white-light emission in 2D halide perovskites

a Temperature-dependent PL spectrum of C4 perovskite excited with a CW laser at 360 nm. b Extracted FWHM of STEs emission for C3-C6 perovskites as a function of temperature. The solid lines are the curve-fits using Eq. (1). c The estimated Huang-Rhys factor \(S\) as a function of the ring size of cyclic cation.