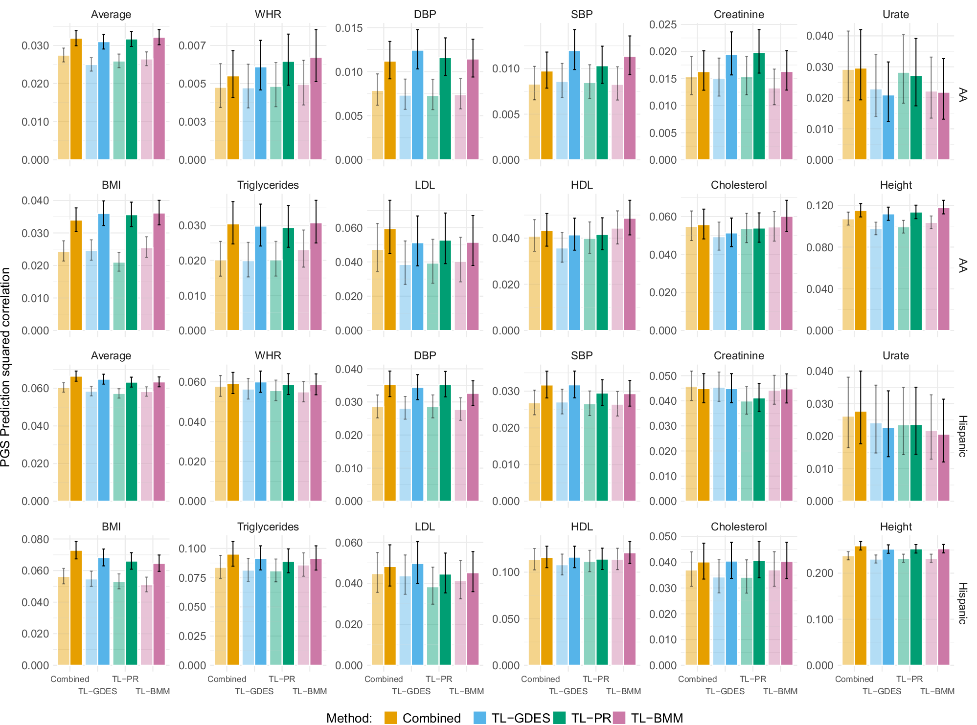
Fig. 4: Prediction accuracy of PGS methods obtained with different source-ancestry groups.
From: Improving polygenic score prediction for underrepresented groups through transfer learning

Prediction squared correlation ( ± SE) was obtained when using data from a single source-ancestry group (left bars, light-shaded) versus multiple source-ancestry groups (right bars, solid-shaded), by trait, method, and the ancestry of the testing data sets. For each of the methods used, the figure presents side-by-side bars representing the prediction Sq. Correlation ( ± SE) obtained when combining data from UK-Biobank plus data from the target-ancestry group (left light-shaded bars), and the one achieved when combining data (or summary statistics) from UK-Biobank, AOU-EU, and AOU target-ancestry group (right solid-shaded bars). Standard error (SE) was computed analytically via the standard large-sample formula for Pearson’s correlation coefficient. Details of PGS construction are described in Pipeline 1 in Methods. Sample sizes vary among target ancestry groups and traits and are summarized in Supplementary Table 3. Detailed numerical results are reported in Supplementary Data 1. WHR waist-to-hip ratio, DBP diastolic blood pressure, SBP systolic blood pressure.