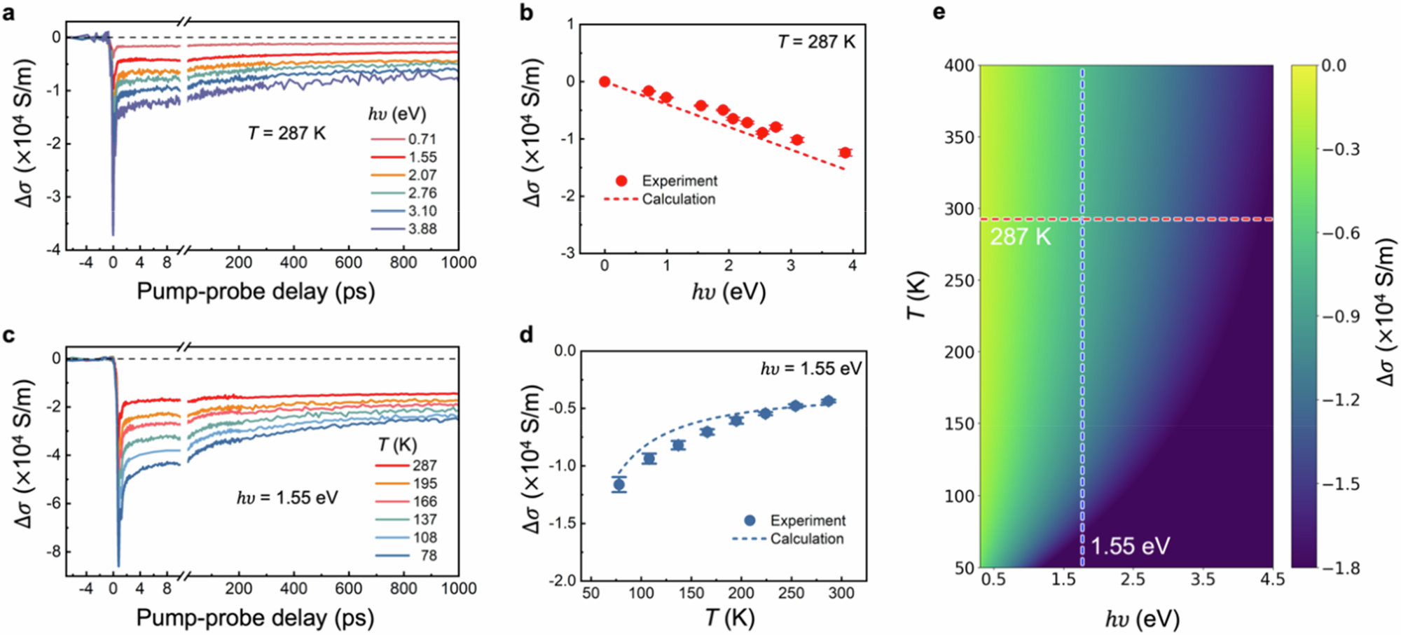
Fig. 3: ν- and temperature-dependent photoconductivity in titanium carbide MXene.
From: Photothermal effects control ultrafast charge transport in titanium carbide MXenes

a \({hv}\)-dependent photoconductivity dynamics in Ti3C2Tx. b The averaged photoconductivity (between 3 to 10 ps) as a function of \({hv}\). The dashed line is from the calculation result presented as the vertical cut in panel (e). c Temperature-dependent photoconductivity dynamics in titanium carbide. d The averaged photoconductivity (between 3 to 10 ps) as a function of temperature. The dashed line is the horizontal cut in panel e. Error bars in panels b and d represent the standard deviation of the photoconductivity values averaged over the time window from 3 to 10 ps. e Calculated photoconductivity as a function of temperature and \({hv}\), with horizontal and vertical dashed cuts shown in b and d to compare with the experimental data.