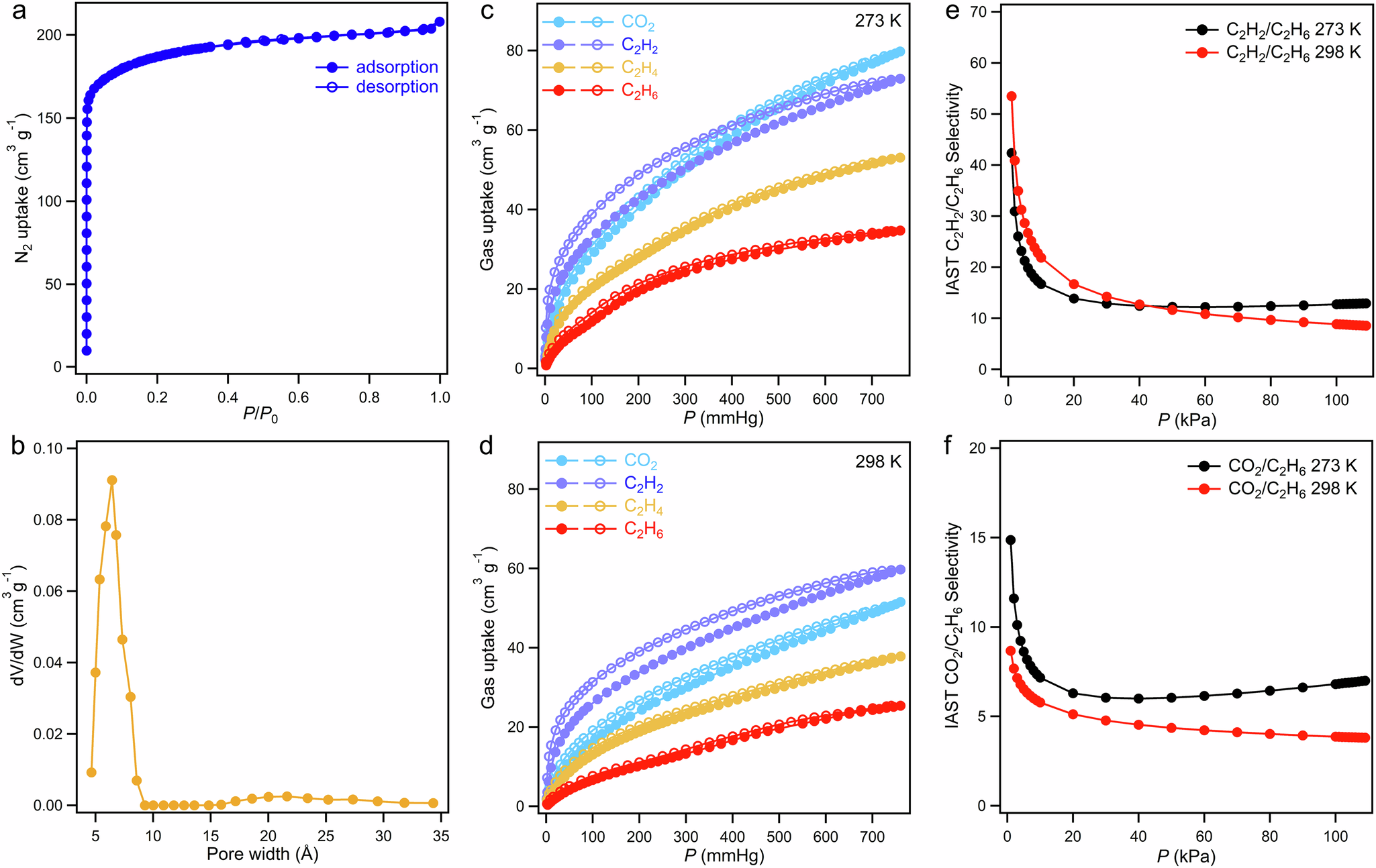
Fig. 4: Porosity and gas separation selectivity of FIR-151.
From: Hierarchical assembly of a Ti24 metal-organic polyhedron via kinetic trapping of intermediates

a N2-sorption isotherm at 77 K for FIR-151. b Pore-size distribution curve of FIR-151 derived from density functional theory (DFT) analysis. c The sorption isotherms of FIR-151 for CO2, C2H2, C2H4, and C2H6 at 273 K. d The sorption isotherms of FIR-151 for CO2, C2H2, C2H4, and C2H6 at 298 K. e The IAST selectivities of FIR-151 for C2H2/C2H6 (50/50, v/v) mixtures at 1 bar. f The IAST selectivities of FIR-151 for CO2/C2H6 (50/50, v/v) mixtures at 1 bar. Source data are provided as a Source Data file.