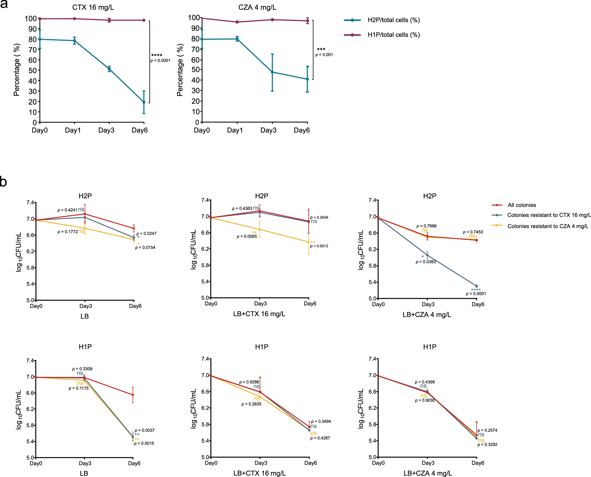
Fig. 4: Stability of heterogeneity in the H1P and H2P models under CTX or CZA pressure.

a H1P and H2P strains were continuously passaged under CTX or CZA pressure and analyzed by flow cytometry. The percentage of dual-fluorescent cells among total cells is plotted over passages at days 0, 1, 3, and 6. Data were presented as mean ± SD (n = 3 biological independent replicates). Statistical significance was determined by two-sided repeated measures two-way ANOVA with Geisser-Greenhouse correction, followed by Tukey’s post hoc test. b H1P and H2P strains models were continuously passaged by plating serial dilutions on CTX or CAZ and counting CFU at days 0, 3, and 6. Data were presented as mean ± SD (n = 3 biological independent replicates, each averaged from 3 technical replicates). Significance was assessed by two-tailed paired t-tests at each time point. CTX cefotaxime, CZA ceftazidime/avibactam, H2P heterogeneity in two plasmids, H1P heterogeneity in one Plasmid. Source data are provided as a Source Data file.