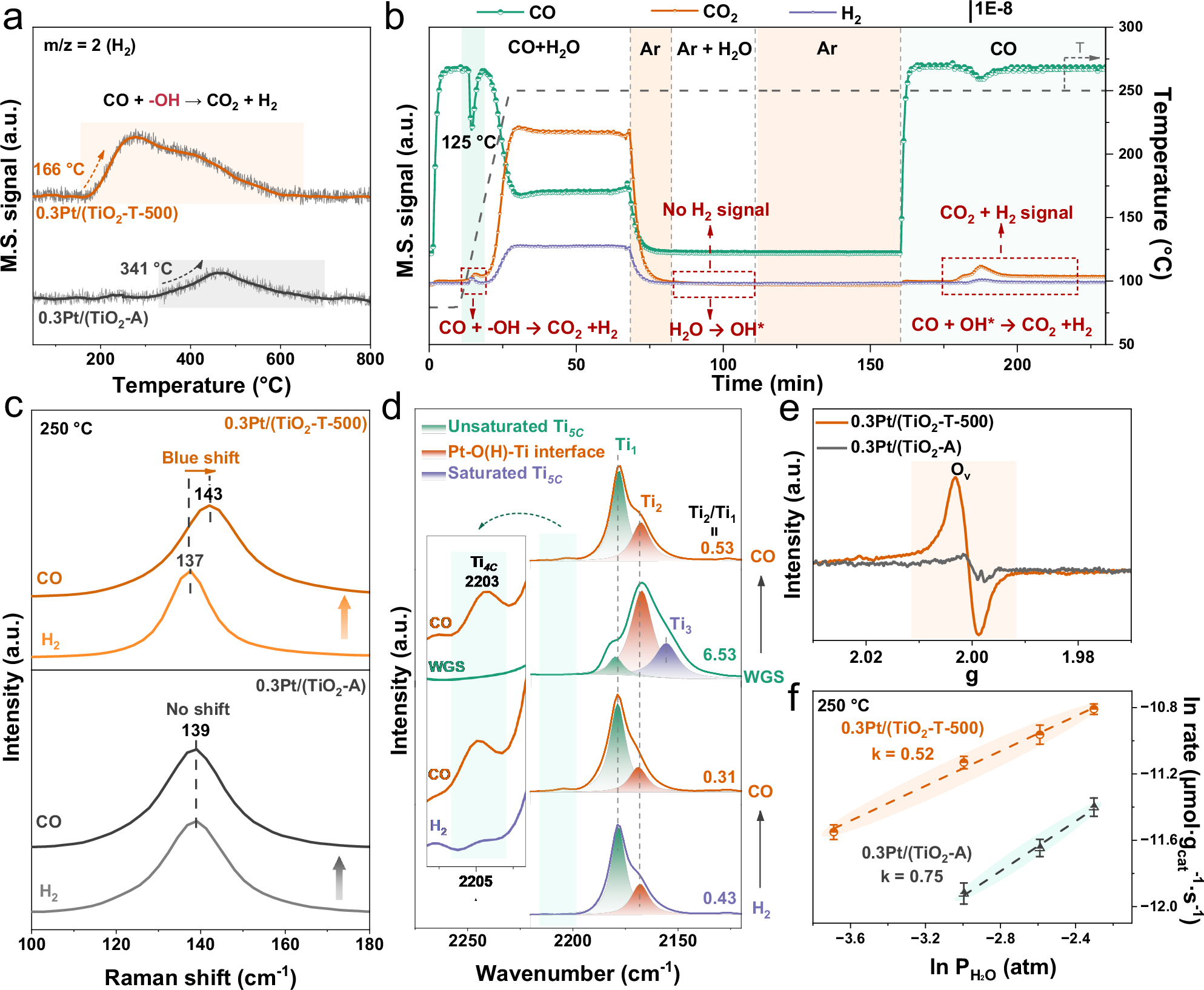
Fig. 3: Surface hydroxyls consumed by CO to facilitate oxygen vacancy formation for enhanced H2O dissociation.
From: Surface hydroxyl-induced Pt0 clusters on TiO2 for synergistic water gas shift catalysis

a CO-TPR profiles of 0.3Pt/(TiO2-T-500) and 0.3Pt/(TiO2-A) samples after H2 treatment. b In situ WGS reaction, H2O dissociation and CO-TPSR of the 0.3Pt/(TiO2-T-500) catalyst. c In situ Raman of 0.3Pt/(TiO2-A) and 0.3Pt/(TiO2-T-500) during the switch from H2 to CO at 250 °C. d In situ infrared spectra of 0.3Pt/(TiO2-T-500) catalyst recorded after various pretreatment conditions at −130 °C. e EPR measurement of 0.3Pt/(TiO2-T-500) and 0.3Pt/(TiO2-A) after WGS reaction. f H2O kinetic orders of 0.3Pt/(TiO2-T-500) and 0.3Pt/(TiO2-A) at 250 °C. The error bars are defined as standard deviation, and the center of each error bar represents the mean value of three independent experiments.