Abstract
Rare-earth infinite-layer nickelates are emerging unconventional superconductors, with materials synthesis largely limited to early lanthanide compounds. Here, we report phase-pure samarium-based nickelate thin films on (LaAlO3)0.3(Sr2TaAlO6)0.7 (001) substrates, including the first demonstration of Sm1-xSrxNiO2. Co-doped compounds achieve a record-small c-axis parameter (3.26 Å) and superconducting transitions up to 32.5 K, revealing a clear correlation between decreasing c-axis parameter and increasing critical temperature across different rare-earth systems. Angle-dependent magnetoresistance shows a hybrid 2D/3D superconductivity with enhanced rare-earth 5d–Ni 3 d orbital coupling, confirmed by resonant inelastic X-ray scattering. In addition, increasing Eu concentration drives a shift toward 3D superconductivity, and Eu-containing samples exhibit distinctive negative magnetoresistance even in the superconducting state. These findings advocate clear materials design principles for higher transition temperatures and exotic physics in infinite-layer nickelate superconductors through structural engineering of the rare-earth site.
Similar content being viewed by others
Introduction
Superconducting infinite-layer (IL) nickelates, since discovered1 stand as a subject of continuous research interest2,3, featured by their potential of being an analogous model system to high-Tc cuprates4 as well as by the essential reductive materials synthesis pathways to the unconventional Ni valence state5. Their electronic structure displays a few salient features as compared to cuprates, including the unusual role of the rare-earth orbitals6,7,8 and the belated multi-band nature9,10,11 with the presence of a ‘self-doping’ effect8,12 and clear electron pockets at the Fermi surface9,10. This raises an interesting question regarding the role of the detailed configuration of the f electrons of the rare-earth cations and their affiliated local moment13,14, and the possible interaction with the itinerant charges of 3 d character15, a hall mark of heavy-fermion physics. However, due to the significant growth challenges16, materials synthesis efforts have largely been limited to the La- 17,18,19, Pr- 20,21 and Nd-series22,23,24,25,26: many of the anticipated ‘Kondo-like’ physics12,27,28 remain to be seen. Besides, given the discrepancies reported on the (an-)isotropic nature of different rare-earth IL nickelate systems15, designing and preparing additional IL nickelates with tuneable interplanar spacings and detailed electronic configurations, and to investigate the dimensionality of their superconducting ground state are highly demanded.
Another motivation for extending the materials paradigm to late-lanthanide IL nickelates is to drive higher Tc. Indeed, a widely employed strategy for tuning Tc is to exert chemical pressure by utilising elements of smaller cationic radius29,30. Such evolution of the structural tolerance parameter, enabled by the rare-earth sublattices, directly modulates the long-range chemical bonding configurations embedded in the lattice distortion, resulting in direct control of the electronic bandwidth and correlation strength31,32,33,34. This has produced various competing and often intertwined emerging orders of both commensurate and incommensurate nature, which drastically correlate to local charge and/or spin instabilities, as well as superconductivity4,35. In this regard, example systems with properties largely underpinned by such rare-earth dependence span across from famous cuprates4 and pnictides36, to intermetallic compounds37, to the Ruddlesden-Popper (RP) nickelate of various nickel valence38,39,40, the latter of which has been the focus of recent investigations41,42.
For superconducting IL nickelates, hydrostatic high-pressure experiments indicate that a shrinking lattice parameter may contribute to a higher Tc21. Furthermore, early work on Nd- and Pr-based IL nickelates on substrates of smaller lattice constants, such as (LaAlO3)0.3(Sr2TaAlO6)0.7 (LSAT) and NdGaO3 (NGO) corroboratively suggest an enhancement of Tc (for instance, for Nd0.8Sr0.2NiO2, the onset Tc is ~ 15 K on the SrTiO3 (001) substrate22,23, ~ 19.3 K on the LSAT (001) substrate24, and ~ 25.7 K on the NdGaO3 (110) substrate25), in which the epitaxial strain may be instrumental43, similar to that in the doped cuprate thin films44. All these aspects highlight the intricate yet useful role of the smaller lattice spacing in IL nickelates for higher Tc, which warrants further investigations, particularly through introducing smaller rare-earth ions. In addition, discrepancies in magneto-transport behaviours, dimensionality, and the pertained magnetic footprints across La-, Pr-, and Nd-series IL nickelates, which stem from the variations in the spin configuration of the A-site ions19,20,21,22,23,24,25,26,45, call for the quest for new members of the IL nickelate family.
With this notion and motivated by the recent observation of a Tc above 35 K in infinite-layer Sm1-x-y-zCaxSryEuzNiO2 nickelates on NdGaO3 (110) substrates46, we have synthesised phase-pure Sm-based IL nickelate thin films on LSAT (001) substrates and carefully studied their superconducting transport properties and electronic structure. The highest Tc of 32.5 K has been observed. Atomically-resolved scanning transmission electron microscopy (STEM) images reveal the high quality of our films of up to ~ 9 nm with minimal stacking faults. In addition, driven by the fact that a compositional A-site and the distribution in cationic radius may also significantly affect superconductivity47,48, with the emergence of ordered phases (spin and/or charge orderings)4,49,50, we furthered our materials growth efforts to the synthesis of a combinational series of Sm-based superconducting IL nickelate thin films with A-site (in ABO2) composition of Eu, Sr, and Ca. In particular, superconducting Sm1-xSrxNiO2 have been demonstrated for the first time. We observed a generic mixed nature of both two- and three-dimensional superconductivity revealed by high-magnetic-field measurements across all samples. As the concentration of Eu increases, the system exhibits a tendency towards 3D superconductivity. This behaviour is in concert with an enhanced coupling of the rare-earth 5 d and Ni 3 d orbitals, corroborated by the resonant X-ray scattering measurements. Our results add new superconducting IL nickelates with high Tc into this intriguing materials family and underscore a fundamental trend of an increasing Tc value as the c-axis constant shrinks. These findings contribute to the understanding of the superconductivity mechanism, offering clear guidelines to uncovering additional IL nickelate superconductors with even higher Tc.
Results
Multiple sets of Sm-based IL nickelate films of thicknesses of ~ 10 nm with various compositions and a SrTiO3 capping layer of ~ 2 nm were prepared using pulsed laser deposition (PLD). We note a narrower growth parameter window for high-quality, hole-doped Sm nickelate as compared to that of Nd version. We further note that the introduction of Ca2+ doping renders a more complete reduction to the IL phase, similar to previous reports11,24. Details on the sample synthesis can be found in Methods.
The precursor perovskite phases (Sm0.8Sr0.2NiO3, Sm0.74Ca0.01Sr0.19Eu0.06NiO3, Sm0.79Ca0.04Sr0.05Eu0.12NiO3 and Sm0.75Ca0.05Eu0.2NiO3, as well as others with different Ca concentrations) were grown on LSAT (001) substrates. The detailed characterizations are shown in the Supplementary Information (Fig. S1). The presence of prominent (001) reflections16 and finite-size fringes around the main film peaks in the X-ray diffraction (XRD) scans (Fig. S1a) suggests a good film quality. The c-axis lattice parameters calculated from the data are 3.75 Å, 3.74 Å, 3.74 Å and 3.729 Å, respectively. These values are smaller than that in Nd1-xSrxNiO351, in line with a smaller tolerance factor. The corresponding resistivity curves ρ(T) of all samples are shown in Fig. S1b. Unlike previously reported46, three samples show metallic behaviour down to low temperature (2 K), consistent with charge-induced suppression of the metal-insulator transition51,52. The intrinsic metallic behaviours inform the high crystallinity of the precursor phase. We note a few anomalies of the slope change in the ρ(T) curve for Sm0.79Ca0.04Sr0.05Eu0.12NiO3 that may be attributed to the magnetism in the system: in particular, the local ‘plateau’ in resistivity at ~ 60 K and the local resistivity minimum at ~ 8 K. These transitions are more revealing on a derivative resistivity curve53 (see Fig. S2 in the Supplementary Information).
The reduction to the IL phase was done using an in-situ setup (see Methods for details and Fig. S3 for the reduction process). Figure 1(a-d) illustrates the XRD scans of the films in the IL phase upon reduction: Sm0.8Sr0.2NiO2, Sm0.74Ca0.01Sr0.19Eu0.06NiO2, Sm0.79Ca0.04Sr0.05Eu0.12NiO2, and Sm0.75Ca0.05Eu0.2NiO2 (for simplicity and consistency, we name them as SSNO, SCSE0.06, SCSE0.12 and SCE0.2, respectively), all of which show significant (00 l) film peaks, indicative of high quality, corresponding to the c-axis lattice constant of 3.307 Å, 3.296 Å, 3.26 Å and 3.273 Å, respectively. The SCSE0.12 represents the smallest c-axis parameter so far reported for the IL nickelate thin films, with 12% Eu and 4% Ca introduced to partially replace Sm and Sr, which have larger ionic radius54. These samples all show superconductivity at low temperatures with a Tc onset of ~ 15 – 32.5 K (Fig. 1, e-h). In particular, superconductivity in Sm1-xSrxNiO2 was observed for the first time. All four samples do not show clear T-linear dependent behaviour, implying the doping level may not be at the optimal level24. For SCE0.2, it is worth noting that we initially aimed at achieving single-phase superconducting Sm0.8Eu0.2NiO2; however, we noticed that the introduction of Ca is of crucial importance for obtaining high-quality IL nickelates under the current optimised reduction conditions, as illustrated in Fig. S4. Therefore, we have selected SCE0.2 for our study here.
a–d The X-ray diffraction (XRD) θ–2θ symmetric patterns of Sm0.8Sr0.2NiO2 (SSNO), Sm0.74Ca0.01Sr0.19Eu0.06NiO2 (SCSE0.06), Sm0.79Ca0.04Sr0.05Eu0.12NiO2 (SCSE0.12) Sm0.75Ca0.05Eu0.2NiO2 (SCE0.2) thin films. Inset of (a) is a schematic diagram of the atomic structure. Resistivity curves ρ(T) of SSNO, SCSE0.06, SCSE0.12 and SCE0.2 samples are shown in (e–h). Insets of (e–h) show the zoom-in data around the superconducting transitions. Dashed lines are linear fits to the normal state ρ(T) curves above the transitions. Here, Tc,onset is defined as the point where the curve deviates from the linear fitting, Tc,0 is defined as the zero-resistance Tc. i, j are high-angle annular dark-field (HAADF) images of an SSNO thin film and an SCSE0.06 thin film. The c-axis lattice constants are measured to be 3.34 Å for SSNO and 3.28 Å for SCSE0.06. The area circulated by yellow dashed line indicates a Ruddlesden-Popper (RP) stacking fault.
The high quality of the samples is confirmed by STEM. Figure 1i and j displays cross-sectional high-angle annular dark field (HAADF) STEM images of an SSNO sample and an SCSE0.06 sample. From the images, despite occasional RP-type extended defects, single-phase IL nickelate layers of ~ 9 nm with homogeneous lattice coherency and sharp interfaces with the LSAT substrates can be clearly seen. The lattice spacings measured from the atomically resolved HAADF images are ~ 3.34 Å, ~ 3.28 Å for the SSNO and SCSE0.06 samples, generally consistent with the XRD results. To access the elemental information, the energy dispersive x-ray spectroscopy measurements were performed on a SCE0.2 sample. As clearly demonstrated in Fig. S5 and Table S1, the Sm, Eu, and Ni elements exhibit highly uniform distribution across the entire film region.
Magnetotransport measurements were performed in-house under magnetic fields up to 14 T perpendicular and parallel to the NiO2 planes for the samples (Fig. 2). The Meissner diamagnetic responses were recorded below a characteristic temperature TM of 5.4 K, 7.2 K, 4.6 K and 15.8 K for SSNO, SCSE0.06, SCSE0.12, and SCE0.2, respectively, in the mutual inductance measurements, with the driving and pickup coils vertically aligned above and below the sample (see Methods). The data is displayed in the insets of Fig. 2e–h. These TM values are slightly lower than zero-resistance Tc (defined as Tc,0), consistent with theoretical predictions for layered superconductors, where the flux penetration dynamics (governed by weak interlayer coupling) result in delayed emergence of complete diamagnetic shielding compared to resistive transitions55. The resistivity data sets show a clear anisotropic superconducting characteristic (across Fig. 2a–h and more visual in Fig. 2i–l) independent of Tc value (Tc,50%, defined as the midpoint of the resistive transition, ρ(Tc) = ρ50%, where ρ50% is the 50% of the normal-state resistivity; see Fig. S6 in the Supplementary Information for definition), and can be largely captured by the Tinkham’s framework for 2D superconductors despite the requirement of the thickness being smaller than the Ginzburg-Landau (GL) coherence length (ξGL) at T = 0 K. Extrapolation of a linear-T dependence of the upper critical field (μ0Hc2) close to Tc in the out-of-plane field (H//c) configuration (Fig. 2i–l) gives ξGL at T = 0 K to be 3.3 nm, 2.8 nm, 2.1 nm, 1.7 nm for SSNO, SCSE0.06, SCSE0.12 and SCE0.2, respectively. The μ0Hc2(t) ~ (1 – t)1/2 (where t = T/Tc is the reduced temperature) behaviour close to Tc under in-plane field (\(H\perp c\)) for SSNO and SCSE0.06, as shown in Fig. 2i and 2j, is attributed to the dominant spin paramagnetic pairing breaking56,57. For SCSE0.12 and SCE0.2, a different behaviour is observed and will be discussed later. The generic anisotropy of the system across all samples can also be corroborated by an anisotropic field response of vortex motion: as illustrated in Fig. 2m-p, the field-dependent vortex activation energy, U0 ~ H-α, extracted from the T-dependent Arrhenius relationship based on the thermally-activated flux flow (TAFF) model58 (see Fig. S7 in the Supplementary Information for definition). The data show a large difference of the power-law exponent α for the two field directions, indicating a strong anisotropy in vortex pinning strength in the Sm-based system. Figure 2n–p reveals a monotonic decrease in α values for \(H\)⊥\(c\) with increasing Eu concentration, indicative of a progressive strengthening of the interlayer coupling strength.
a–h Are ρ(T) under varying magnetic field perpendicular (parallel) to the NiO2 planes of SSNO, SCSE0.06, SCSE0.12 and SCE0.2 films. Inset of (a) is a schematic of the sample cross-section. Insets of (b–d) show the zoom-in data around the onset of the superconducting transitions: negative magnetoresistance can be seen above the transitions. Insets of (e–h) show the mutual inductance results for each sample, where the superconducting diamagnetic response can be clearly observed. i–l The variation of the upper critical field \({\mu }_{0}{H}_{{{{\rm{c}}}}2\perp }\) and μ0Hc2// (estimated against the Tc definition described in the main text) of SSNO, SCSE0.06, SCSE0.12 and SCE0.2 fitted with the Ginzburg-Landau (G-L) equations, where applicable. m–p The vortex activation energy U0/kB as a function of magnetic field μ0H for the SSNO, SCSE0.06, SCSE0.12 and SCE0.2 thin films under magnetic fields applied parallel and perpendicular to the NiO2 planes. The data are fitted with a power-law relationship U0 ~ H-α, extracted from the Arrhenius plot of ρ(T) using the thermally activated flux flow (TAFF) model.
The samples with Eu as an effective component show interesting response to magnetic field: SCSE0.06, SCSE0.12 and SCE0.2 all display a sizable negative magnetoresistance in their normal state (insets of Fig. 2b–d for the perpendicular-field case, and Fig. S8b for the parallel-field case). The negative magnetoresistance is absent in the SSNO system but observed in Eu-containing samples, indicating an intimate connection between Eu doping and the negative magnetoresistance. This phenomenon may suggest a coupling between the local moment of the Eu f orbitals and the itinerant Ni 3 d electrons.
To access the intrinsic μ0Hc2 and compare with other IL nickelates, high-magnetic-field measurements (see Methods) were performed on SSNO. The data (Fig. S9) shows a clear anisotropic behaviour in μ0Hc2(T), which is more reminiscent of that for La- and Pr-based IL nickelates45,56,59, distinct from the Nd series26,57. Indeed, when normalized against Tc at 0 T (defined as Tc(0 T)) and plotted in comparison with data sets of all other rare-earth series (Fig. 3a, b), the μ0Hc2 - T dependence of the SSNO sample shows a clear violation of the Pauli limit (dash lines) and a strong deviation from the Nd-based IL nickelates, despite that the ground state of Sm3+ is a Kramer’s doublet with a 4 f5 electron configuration and a possible enhanced magnetic permeability15, which is similar to Nd3+. This observation further raises questions on the role that the rare-earth ions (in particular, the 4f electron configuration) may play in the unconventional nature of superconductivity in IL nickelates: a delicate balance between the detailed magnetic structure and the lattice exerted by chemical pressure.
a, b Are normalized μ0Hc2/Tc(0 T) against reduced temperature T/Tc(0 T) of RE0.8Sr0.2NiO2 (RE: La, Pr, Nd and Sm) for \(H\perp c\) and H//c. The data for La-, Pr- and Nd-series are adapted from Ref. 15. The dashed lines indicate the Pauli limit of μ0Hc2 = 1.86 Tc(0 T). c Shows the upper critical field μ0Hc2,50% as a function of the polar rotation angle θ measured at 5 K. Here, the cyan line is a fit using the 2D Tinkham’s model, while the dashed line is a fit using the anisotropic 3D GL model. The red line is a fit using both 2D and 3D models with the ratio of the 3D component, β. Inset of (c) is a schematic of the measurement geometry. d–g Are Tc,50% as a function of θ measured at 9 T for the SSNO, SCSE0.06, SCSE0.12 and SCE0.2 thin films, respectively. The red lines are fits to both 2D and 3D models with the ratio of the 3D component, β’. h, i Are the resonant inelastic X-ray scattering (RIXS) energy loss maps as a function of incident energy for two light polarizations taken on a SCE0.2 sample. j Is the integrated intensity for both light polarizations.
The SSNO sample was further put on a rotator under the magnetic field for angle-dependent magnetoresistance (μ0Hc2 versus θ) measurements at T = 5 K. For H//c (θ = 0°), the magnetic field was large enough to suppress superconductivity: the normal-state can be attained, from which a μ0Hc2,50% can be extracted using 50% of the linear fit to the normal-state magnetoresistance (see Methods for details). The μ0Hc2,50% - θ data is shown in Fig. 3c and can be described by a combination of the Tinkham’s model for 2D superconductors and the anisotropic GL model for 3D superconductors using the following formula:
where β is a dimension-less coefficient that informs how ‘3D’ the superconductor behaves, and θ is the angle of the magnetic field with respect to the normal of the sample surface, as illustrated in the inset of Fig. 3c. The best fit (red line) to the data yields a β of 0.366, indicating a mixed ‘2D’ and ‘3D’ character.
This behaviour is further validated by the Tc,50% - θ experiments, which can be performed by measuring Tc,50% from ρ(T) at variant θ values under a constant in-house magnetic field (at 9 T), as shown in Fig. 3d for SSNO. Here, the fitting was done in a similar manner, proportioning both the ‘2D’ and ‘3D’ contributions:
where β’ is similarly defined as β above and γ represents the anisotropic mass ratio of the in-plane and out-of-plane electron motion. Note that the second and the last terms on the right-hand side of the formula correspond to the angular dependence of Tc given by the anisotropic GL 3D model and the Tinkham’s 2D model, respectively. Again, SSNO shows a clear mixed feature.
Following the same method, SCSE0.06, SCSE0.12 and SCE0.2 were all measured, and their Tc,50% - θ data, which are shown in Fig. 3e–g, respectively, suggest a mixed ‘2D + 3D’ behaviour for nearly all samples. The overall increase in β’ with higher Eu doping indicates a tendency toward a 3D superconducting ground state of the system. A further comprehensive polar rotation study on a full set of samples is needed to unveil the nature of such behaviours.
To further interrogate the possible implications of this ‘3D’ feature, at the electronic structure level, we performed Ni L3-edge resonant inelastic X-ray scattering (RIXS) measurements on an SCE0.2 sample (Fig. 3h–j). Consistent with earlier studies on other IL nickelate systems, the d-d excitations are observed in the energy-loss range of ~ 1 to 3 eV6,43,60,61. The excitation at ~ 0.6 eV points to a sizable hybridization between the Ni 3dz2 and the rare-earth 5dz2, 5dxy states6,8. The significantly enhanced intensity under the X-ray beam of π polarization at grazing-incidence geometry is consistent with a predominantly out-of-plane orbital symmetry.
This hybridization feature appears to be more intense6,60,61, indicating that the reduced ionic radius of Sm and Eu effectively modifies the electronic structure, which could be crucial to the enhanced Tc (see Figs. S10 and S11 in Supplementary Information for more analysis).
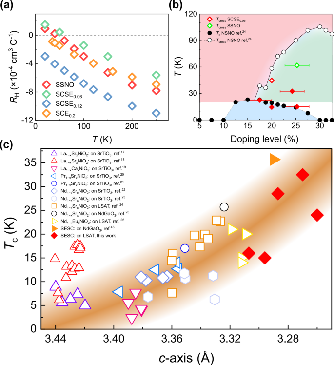
The negative normal-state Hall coefficient (RH) of the SCSE0.12 and SCE0.2 samples display no sign change (Fig. 4a) down to low temperature, despite a higher total dopant concentration (x + y + z = 0.21 for SCSE0.12 and x + y = 0.25 for SCE0.2) as compared to that of SSNO (x + y + z = 0.2), suggesting a lower effective hole-doping level. Such effect can also be seen for the SCSE0.06 sample (x + y + z = 0.26), where the crossover temperature (Tcross) for the sign change in RH, is not far from that of SSNO. These are in line with the co-existence of Eu2+ and Eu3+ states62 and a shift of the superconducting ‘dome’ towards higher doping in Eu-doped infinite-layer compounds26. We further note that the all-negative RH measured in our SCE0.2 sample contrasts with the sign change at low temperatures observed in a similar thin film on NGO46. This difference corroborates the multi-band nature of the IL nickelates, despite that a linear field-dependent Hall resistivity, ρyx(H), has been observed in our samples62, from which RH was extracted. In Fig. 4b, we further plot Tc, Tcross as a function of an estimated effective hole doping level (see Fig. S12 in Supplementary Information for more analysis) and overlay them with the data measured on high-quality Nd1-xSrxNiO2 on LSAT24. It can be clearly seen that, upon estimating the fraction of Eu2+ and the re-adjustment on doping level, our data follow a similar trend (within error bars).
a Temperature dependence of the Hall coefficients for various samples. b Tc and Tcross versus the estimated hole doping level plotted with reference to the data extracted from Ref. 24 for Nd1-xSrxNiO2 (NSNO). c The correlation of Tc and the c-axis lattice constant for different IL systems. The highest Tc was observed in SCE0.2 with a c-axis of 3.273 Å. The red rhombus-shaped points in the figure are data from this work while other data are extracted from Refs. 17,18,19,20,21,22,23,24,25,26,46 Data from this work are presented in both the main text and Supplementary Information.
Last, we summarize Tc versus c-axis parameter of our samples grown on LSAT substrates (red rhombus-shaped points at the top-right part) together with data points from previous studies across different systems, illustrated in Fig. 4c. These data points are largely located within the yellow-shaded region, for which a clear correlation between Tc and c-axis constant reveals the lattice motif (i.e. distance between Ni-O planes) to superconductivity and suggests the key role of the interplane coupling in mediating Tc. As indicated in previous studies21,63, there is a general enhancement of superconductivity as the c-axis lattice constant shrinks: we can see from the figure that as the average c-axis parameter decreases from ~ 3.43 Å for La1-xSrxNiO2 to ~ 3.28 Å for Sm-based compounds, Tc steadily increases from ~ 10 – 12 K to 24 – 28 K or to even above 32 K, making the infinite-layer nickelates towards a ‘high-Tc’ system under ambient pressure21,46,64. We note that these data points are surveyed from a broad range of samples with distinct A-site elements and/or dopants, as well as different doping levels, for which other factors impacting Tc may be at play. In addition, the influence of synthesis methods and growth optimisations is not clearly visible here. The central aim of the ‘broad, orange-coloured band’ is to showcase a generic guiding trend.
Discussions
Our study was motivated by the recent report on reaching a remarkably high Tc in Sm-based IL nickelate thin films46, and continued growth optimisation is warranted. Our results suggest that the overall smaller A-site ionic size (Sm, Eu, Ca) is key to a generally enhanced superconductivity irrespective of the details of the A-site composition and perhaps nor the substrate. With more systematic A-site compositional variation, which gives rise to different statistical variance in the distribution of A-site radii, cation effect on Tc can be studied47. The large variation in ionic radius (Sm3+ versus Sr2+) may account for the lower Tc in SSNO, likely an early indication to a ‘size mismatch’ scenario. The synthesis of an extended family of superconducting IL nickelates towards smaller lattice spacings offers an ideal opportunity to investigate such cation disorder effect in a nickelate system, despite that the lattice strain imposed by the substrate may vary across different IL compounds and intricately contribute to determining Tc. In general, substrate quality, lattice mismatch, strain, as well as interfacial chemistry may play an important role in the formation of a high-crystallinity IL phase with higher Tc. For instance, previous studies have yet failed to observe superconductivity in IL phases on substrates of smaller lattice constants, such as LaAlO3, perhaps due to overall relatively large lattice mismatch between the IL nickelates and LaAlO3. With a reducing lattice parameter of Sm-based compounds, a successful synthesis of a c-axis oriented IL phase on those substrates can be expected and warrants further investigation.
Additional interest lies in the possible salient features induced by magnetic Eu2+ and/or Sm3+, the latter of which possesses a weak magnetic moment, and their potential interaction with superconductivity. In particular, the half-filled 4 f orbitals of Eu2+ (total angular momentum J = 7/2) produce highly localized magnetic moments ( ~ 7 μB) that participate in a Kondo-type spin-flip scattering with itinerant electrons within the NiO2 layers. Upon external magnetic field, the alignment of these local moments may suppress the spin-disorder scattering, thereby reducing resistivity, which manifests as a negative magnetoresistance. In contrast, the weaker spin-charge interaction for Sm3+ (4 f5, J = 5/2) stems from the significantly smaller magnetic moment ( ~ 0.85 μB), hence the absence of the negative magnetoresistance. These unique configurations, bound to the local moments of 4f electrons, provide a versatile playground for the study of high-Tc superconductivity (itinerate electrons) in a Kondo-lattice (local electrons) setting. In addition, as observed in the Nd1-xEuxNiO2 system26, approximately 40% of the Eu ions remain in the +3 state: Whether these Eu2+/Eu3+ ions form an ordered phase and/or exhibit a non-trivial magnetic ground state present interesting questions to studies like x-rays magnetic dichroism and/or resonant X-ray scattering26,61,65,66,67,68.
In summary, we have prepared superconducting Sm1-xSrxNiO2 thin films, a new single-dopant rare-earth IL nickelate using pulsed laser deposition. We have also synthesized an extended family of Sm-based co-hole-doped superconducting IL nickelate thin films with different dopants and enhanced superconductivity on the (LaAlO3)0.3(Sr2TaAlO6)0.7 substrate. All samples show uniform coherent lattice structures with thickness of ~ 9 nm and were made from the fully metallic perovskite precursor phase despite a stringent growth parameter space. Particularly, due to an overall smaller lattice constant and a better cationic size-match, our doped Sm-based superconducting IL nickelates show an enhanced Tc as high as 32.5 K. Rotational high-magnetic-field measurements consistently reveal a hybrid mixture of two- and three-dimensional superconductivity across all samples, which aligns with an enhanced interlayer coupling between the rare-earth 5 d and Ni 3 d orbitals, as further supported by the resonant X-ray scattering data. In comparison with the La-, Pr- and Nd-based IL compounds, our findings reveal a fundamental correlation where Tc increases as the c-axis parameter decreases due to smaller ionic radii. These results advance our understanding of the superconducting mechanism in this system and encourage clear design principles for discovering additional IL nickelate superconductors with enhanced Tc.
Methods
Thin-film growth
The polycrystalline Sm1-x-y-zCaxSryEuzNiOδ ceramic targets were prepared by pelletising a mixture of Sm2O3, Eu2O3, SrCO3, CaCO3, and NiO powders, followed by decarbonisation step at 1250 °C for 12 hours. After that, the targets were ground, re-pelletised and then sintered twice at 1300 °C and 1270 °C for 12 hours each. A slightly lower temperature for the final sintering was used to avoid a large volume change of the target due to thermal cycles. Using the targets, thin films with a thickness of ~ 10 nm were deposited on LSAT (001) substrates using a KrF excimer laser (λ = 248 nm) in a pulsed laser deposition system. The growth temperature is 600 °C measured by a thermocouple. The oxygen pressure was maintained at 100 mTorr during the growth. The laser fluence was 2.6 J/cm2 and the repetition frequency is 0.2 – 0.3 Hz on growth Sr-doped Sm-based nickelate films and 3 Hz repetition frequency for other films. It is noted that this frequency was adopted after a careful study on the frequency dependence and is more suitable for the phase formation of the precursor nickelates. High repetition frequency will lead to a diminution in the peak intensity of the (001) peak and induce a shift of the (002) peak position towards a lower angular value. A low laser fluence of 0.6 J/cm2 was used to grow the epitaxial SrTiO3 capping layer of ~ 2 nm.
Additional information on the growth of the perovskite precursor films
As a comparison, epitaxial Pr0.8Sr0.2NiO3 films were reproducibly obtained at 600 °C, 100 mTorr oxygen, 2.0 J/cm2, and 3 Hz, with XRD confirming phase-pure perovskite. Under the same conditions, Sm0.8Sr0.2NiO3 films remained amorphous. By reducing the laser repetition rate to 0.3 Hz and increasing laser fluence, perovskite crystallinity emerged at 2.6 J/cm2. Higher fluence or frequency degraded film quality. Therefore, the optimal condition for Sm0.8Sr0.2NiO3 growth was identified as 2.6 J/cm2 at 0.3 Hz. Following similar procedures, it was found that the SCE0.2 sample crystallised best under 2.6 J/cm2 at 3 Hz.
Topotactic reduction
The reduction to the IL phase using CaH2 powders was conducted in a vacuum reduction chamber. The resistance of the sample was monitored in a two-probe configuration in real-time. When the resistance reaches the minimum, the reduction is regarded as complete. The reduction temperature measured by a thermocouple is ~ 270 °C – 310 °C and the total annealing time is ~ 0.5 − 1.5 hours. Detailed information is provided in the Supplementary Information.
X-ray diffraction and RIXS characterizations
The X-ray diffraction θ – 2θ symmetric scans of the films were obtained by a Rigaku SmartLab (9 kW) high-resolution X-ray diffractometer with the wavelength of the X-ray being 0.154 nm. The Ni L-edge RIXS measurements were conducted at the 41 A beamline of the Taiwan Photon Source (TPS)69. All RIXS spectra were collected at T = 30 K, with a grazing-incidence angle of 10° and a scattering angle of 150°. The energy resolution, determined from the elastic scattering of amorphous carbon tape, was ~ 68 meV.
STEM sample preparation and characterization
Cross-sectional STEM specimens were prepared using a focused ion beam (FIB) technique with the Helios G4 system. To protect the sample surface during ion beam etching, a 2 μm-thick carbon layer was deposited beforehand. The preparation process involved a series of milling and lift-out steps, after which the lamellae were carefully extracted and mounted onto Cu grids for further characterization. To minimize surface damage, a final milling step was performed at 2 keV. HAADF images were acquired using an aberration-corrected FEI Titan Themis G2 operating at 300 kV. For STEM imaging, the convergence semi-angle was set to 30 mrad, while the collection semi-angle for HAADF imaging ranged from 50 to 200 mrad. Energy-dispersive X-ray spectroscopy (EDX) analysis was performed using a JEOL JEM-ARM200F NEOARM transmission electron microscope, equipped with a cold field-emission gun and a spherical aberration (Cs) corrector. The microscope was operated at an accelerating voltage of 200 kV to optimize X-ray excitation efficiency and spatial resolution. The spectra were acquired with a typical collection time of 10-15 minutes per map ensure sufficient counting statistics.
In-house Transport Measurements
Wire connections for electrical transport measurements using the standard four-probe method were made by aluminum ultrasonic wire-bonded contacts. For measuring perovskite precursor phase, gold wires were bonded to the sample with silver paste to avoid work function mismatch. Resistivity and Hall-effect measurements were performed at temperatures down to 2 K and under magnetic fields up to 14 T using a Physical Properties Measurement System from Quantum Design Inc. Two-coil mutual inductance experiments were conducted with the driving and pickup coils aligned vertically above and below the thin film samples. Polar angle dependent measurement is done on a rotation rod with Keithley 6220&2182 A system.
High-magnetic-field measurements
High-field magnetoresistance measurements were performed at the High Magnetic Field Laboratory, Chinese Academy of Sciences, Hefei, China, using the Steady High Magnetic Field Facilities (WM5)70 with a maximum field of 35 T and a base temperature of 1.5 K. Resistance was measured using SR830 lock-in amplifiers with a built-in a.c. current source. μ0Hc2,50% is defined as the point at which the magnetoresistance ρ(H) curves intersect with an adjusted linear fit. Similar to the definition for ρ(T) in Fig. S6, this adjusted fit is attained by incorporating 50% of both the slope and the intercept of the linear fit to the normal-state data at θ = 0°.
Data availability
The data that support the findings of this study are available within the article and the Supplementary Information. All data generated in this study are provided in the Source Data file. Source data are provided with this paper (https://doi.org/10.6084/m9.figshare.31005019).
References
Li, D. et al. Superconductivity in an infinite-layer nickelate. Nature 572, 624–627 (2019).
Wang, B. Y., Lee, K. & Goodge, B. H. Experimental progress in superconducting nickelates. Annu. Rev. Condens. Matter Phys. 15, 305–324 (2024).
Gu, Q. & Wen, H.-H. Superconductivity in nickel-based 112 systems. Innovation 3, (2022).
Keimer, B., Kivelson, S. A., Norman, M. R., Uchida, S. & Zaanen, J. From quantum matter to high-temperature superconductivity in copper oxides. Nature 518, 179–186 (2015).
Hayward, M. A. Topochemical reactions of layered transition-metal oxides. Semicond. Sci. Technol. 29, 064010 (2014).
Hepting, M. et al. Electronic structure of the parent compound of superconducting infinite-layer nickelates. Nat. Mater. 19, 381–385 (2020).
Goodge, B. H. et al. Doping evolution of the Mott–Hubbard landscape in infinite-layer nickelates. Proc. Natl. Acad. Sci. 118, e2007683118 (2021).
Lee, K.-W. Infinite-layer LaNiO2 Ni1+ is not Cu2+. Phys. Rev. B 70, 165109 (2004).
Sun, W. et al. Electronic structure of superconducting infinite-layer lanthanum nickelates. Sci. Adv. 11, eadr5116 (2025).
Ding, X. et al. Cuprate-like electronic structures in infinite-layer nickelates with substantial hole dopings. Nat. Sci. Rev. 11, nwae194 (2024).
Dong, Z. et al. Topochemical synthesis and electronic structure of high-crystallinity infinite-layer nickelates on an orthorhombic substrate. Nano Lett. 25, 1233–1241 (2025).
Zhang, G.-M., Yang, Y. & Zhang, F.-C. Self-doped Mott insulator for parent compounds of nickelate superconductors. Phys. Rev. B 101, 020501 (2020).
Jiang, P., Si, L., Liao, Z. & Zhong, Z. Electronic structure of rare-earth infinite-layer RNiO2 (R=La,Nd). Phys. Rev. B 100, 201106 (2019).
Bandyopadhyay, S., Adhikary, P., Das, T., Dasgupta, I. & Saha-Dasgupta, T. Superconductivity in infinite-layer nickelates: Role of f orbitals. Phys. Rev. B 102, 220502 (2020).
Wang, B. Y. et al. Effects of rare-earth magnetism on the superconducting upper critical field in infinite-layer nickelates. Sci. Adv. 9, eadf6655 (2023).
Lee, K. et al. Aspects of the synthesis of thin film superconducting infinite-layer nickelates. APL Mater. 8, 041107 (2020).
Osada, M. et al. Nickelate superconductivity without rare-earth magnetism: (La,Sr)NiO2. Adv. Mater. 33, 2104083 (2021).
Wei, W. et al. Large upper critical fields and dimensionality crossover of superconductivity in the infinite-layer nickelate La0.8Sr0.2NiO2. Phys. Rev. B 107, L220503 (2023).
Zeng, S. et al. Superconductivity in infinite-layer nickelate La1-xCaxNiO2 thin films. Sci. Adv. 8, eabl9927 (2022).
Osada, M., Wang, B. Y., Lee, K., Li, D. & Hwang, H. Y. Phase diagram of infinite layer praseodymium nickelate Pr1-xSrxNiO2 thin films. Phys. Rev. Mater. 4, 121801 (2020).
Wang, N. N. et al. Pressure-induced monotonic enhancement of Tc to over 30 K in superconducting Pr0.82Sr0.18NiO2 thin films. Nat. Commun. 13, 4367 (2022).
Li, D. et al. Superconducting dome in Nd1-xSrxNiO2 infinite layer films. Phys. Rev. Lett. 125, 027001 (2020).
Zeng, S. et al. Phase diagram and superconducting dome of infinite-layer Nd1-xSrxNiO2 thin films. Phys. Rev. Lett. 125, 147003 (2020).
Lee, K. et al. Linear-in-temperature resistivity for optimally superconducting (Nd,Sr)NiO2. Nature 619, 288–292 (2023).
Lee, Y. et al. Synthesis of superconducting freestanding infinite-layer nickelate heterostructures on the millimetre scale. Nat. Synth., https://doi.org/10.1038/s44160-024-00714-2.
Wei, W., Vu, D., Zhang, Z., Walker, F. J. & Ahn, C. H. Superconducting Nd1-xEuxNiO2 thin films using in situ synthesis. Sci. Adv. 9, eadh3327 (2023).
Lechermann, F. Multiorbital processes rule the Nd1-xSrxNiO2 normal state. Phys. Rev. X 10, 041002 (2020).
Wang, Z., Zhang, G.-M., Yang, Y. & Zhang, F.-C. Distinct pairing symmetries of superconductivity in infinite-layer nickelates. Phys. Rev. B 102, 220501 (2020).
Chen, X. H. et al. Superconductivity at 43 K in SmFeAsO1-xFx. Nature 453, 761–762 (2008).
Chen, G. F. et al. Superconductivity at 41 K and its competition with spin-density-wave instability in layered CeO1-xFxFeAs. Phys. Rev. Lett. 100, 247002 (2008).
Torrance, J. B., Lacorre, P., Nazzal, A. I., Ansaldo, E. J. & Niedermayer, C. H. Systematic study of insulator-metal transitions in perovskites RNiO3 (R=Pr,Nd,Sm,Eu) due to closing of charge-transfer gap. Phys. Rev. B 45, 8209–8212 (1992).
Catalano, S. et al. Rare-earth nickelates RNiO3: thin films and heterostructures. Rep. Prog. Phys. 81, 046501 (2018).
Dagotto, E. Correlated electrons in high-temperature superconductors. Rev. Mod. Phys. 66, 763–840 (1994).
Dagotto, E. Complexity in strongly correlated electronic systems. Science 309, 257–262 (2005).
Taillefer, L. Scattering and pairing in cuprate superconductors. Annu. Rev. Condens. Matter Phys. 1, 51–70 (2010).
Fernandes, R. M. et al. Iron pnictides and chalcogenides: a new paradigm for superconductivity. Nature 601, 35–44 (2022).
Zeng, Z., Guenzburger, D., Ellis, D. E. & Baggio-Saitovitch, E. M. Effect of magnetism on superconductivity in rare-earth compounds RENi2B2C. Physica C Supercond. 271, 23–31 (1996).
Pan, G. A. et al. Superconductivity in a quintuple-layer square-planar nickelate. Nat. Mater. 21, 160–164 (2022).
Sun, H. et al. Signatures of superconductivity near 80 K in a nickelate under high pressure. Nature 621, 493–498 (2023).
Zhu, Y. et al. Superconductivity in pressurized trilayer La4Ni3O10−δ single crystals. Nature 631, 531–536 (2024).
Ko, E. K. et al. Signatures of ambient pressure superconductivity in thin film La3Ni2O7. Nature 638, 935–940 (2025).
Zhou, G. et al. Ambient-pressure superconductivity onset above 40 K in (La,Pr)3Ni2O7 films. Nature 640, 641–646 (2025).
Gao, Q. et al. Magnetic excitations in strained infinite-layer nickelate PrNiO2 films. Nat. Commun. 15, 5576 (2024).
Phillips, J. M. Substrate selection for high-temperature superconducting thin films. J. Appl. Phys. 79, 1829–1848 (1996).
Sun, W. et al. Evidence for anisotropic superconductivity beyond pauli limit in infinite-layer Lanthanum nickelates. Adv. Mater. 35, 2303400 (2023).
Chow, S. L. E., Luo, Z. & Ariando Bulk superconductivity near 40 K in hole-doped SmNiO2 at ambient pressure. Nature 642, 58–63 (2025).
Attfield, J. P., Kharlanov, A. L. & McAllister, J. A. Cation effects in doped La2CuO4 superconductors. Nature 394, 157–159 (1998).
Fujita, K., Noda, T., Kojima, K. M., Eisaki, H. & Uchida, S. Effect of disorder outside the CuO2 planes on Tc of copper oxide superconductors. Phys. Rev. Lett. 95, 097006 (2005).
Tranquada, J. M., Sternlieb, B. J., Axe, J. D., Nakamura, Y. & Uchida, S. Evidence for stripe correlations of spins and holes in copper oxide superconductors. Nature 375, 561–563 (1995).
Fujita, M., Goka, H., Yamada, K., Tranquada, J. M. & Regnault, L. P. Stripe order, depinning, and fluctuations in La1.875Ba0.125CuO4 and La1.875Ba0.075Sr0.05CuO4. Phys. Rev. B 70, 104517 (2004).
García-Muñoz, J. L., Suaaidi, M., Martínez-Lope, M. J. & Alonso, J. A. Influence of carrier injection on the metal-insulator transition in electron- and hole-doped R1-xAxNiO3 perovskites. Phys. Rev. B 52, 13563–13569 (1995).
Cheong, S.-W., Hwang, H. Y., Batlogg, B., Cooper, A. S. & Canfield, P. C. Electron-hole doping of the metal-insulator transition compound RENiO3. Physica B 194–196, 1087–1088 (1994).
Stankiewicz, J., Bartolomé, J. & Fruchart, D. Spin disorder scattering in magnetic metallic alloys. Phys. Rev. Lett. 89, 106602 (2002).
Shannon, R. D. Revised effective ionic radii and systematic studies of interatomic distances in halides and chalcogenides. Acta. Cryst. A 32, 751–767 (1976).
He, X., Gozar, A., Sundling, R. & Božović, I. High-precision measurement of magnetic penetration depth in superconducting films. Rev. Sci. Instrum. 87, 113903 (2016).
Wang, B. Y. et al. Isotropic Pauli-limited superconductivity in the infinite-layer nickelate Nd0.775Sr0.225NiO2. Nat. Phys. 17, 473–477 (2021).
Xiang, Y. et al. Physical properties revealed by transport measurements for superconducting Nd0.8Sr0.2NiO2 thin films. Chin. Phys. Lett. 38, 047401–047401 (2021).
Palstra, T. T. M., Batlogg, B., Schneemeyer, L. F. & Waszczak, J. V. Thermally Activated Dissipation in Bi2.2Sr2Ca0.8Cu2O8+δ. Phys. Rev. Lett. 61, 1662–1665 (1988).
Chow, L. E. et al. Pauli-limit violation in lanthanide infinite-layer nickelate superconductors. arXiv https://doi.org/10.48550/arXiv.2204.12606.
Rossi, M. et al. Orbital and spin character of doped carriers in infinite-layer nickelates. Phys. Rev. B 104, L220505 (2021).
Rossi, M. et al. Universal orbital and magnetic structures in infinite-layer nickelates. Phys. Rev. B 109, 024512 (2024).
Yang, M. et al. Robust field re-entrant superconductivity in ferromagnetic infinite-layer rare-earth nickelates. arXiv https://doi.org/10.48550/arXiv.2508.14666 (2025).
Krockenberger, Y. et al. Superconductivity phase diagrams for the electron-doped cuprates R2-xCexCuO4 (R=La, Pr, Nd, Sm, and Eu). Phys. Rev. B 77, 060505 (2008).
Been, E. et al. Electronic structure trends across the rare-earth series in superconducting infinite-layer nickelates. Phys. Rev. X 11, 011050 (2021).
Lu, H. et al. Magnetic excitations in infinite-layer nickelates. Science 373, 213–216 (2021).
Rossi, M. et al. A broken translational symmetry state in an infinite-layer nickelate. Nat. Phys. 18, 869–873 (2022).
Hayashida, S. et al. Investigation of spin excitations and charge order in bulk crystals of the infinite-layer nickelate LaNiO2. Phys. Rev. B 109, 235106 (2024).
Parzyck, C. T. et al. Absence of 3a0 charge density wave order in the infinite-layer nickelate NdNiO2. Nat. Mater. 23, 486–491 (2024).
Singh, A. et al. Development of the Soft X-ray AGM–AGS RIXS beamline at the Taiwan Photon Source. J. Synchrotron Radiat. 28, 977–986 (2021).
Fang, Z. et al. Design of a 42 T Resistive Magnet at the CHMFL. IEEE Trans. Appl. Superconduct. 34, 1–4 (2024).
Acknowledgements
We thank Ariando and Lin Er Chow for discussions. We acknowledge the funding support from the National Natural Science Foundation of China (12174325) and a Guangdong Basic and Applied Basic Research Grant (2023A1515011352). The research was supported by research grants from the Research Grants Council (RGC) of the Hong Kong Special Administrative Region, China, under Early Career Scheme, General Research Fund and ANR-RGC Joint Researh Scheme (CityU 21301221, CityU 11309622, CityU 11300923, CityU 11313325, A-CityU102/23 and CUHK 24306223). Part of the work utilized the equipment support through a Collaborative Research Equipment Grant from RGC (C1018-22E). Part of this work was supported by the National Key R&D Program of China (2024YFA1408101 and 2022YFA1403101), the Natural Science Foundation of China (92265112, 12374455 and 52388201, 92565303, 12504161, and 12504166), the Guangdong Major Project of Basic Research (2025B0303000004), the Guangdong Provincial Quantum Science Strategic Initiative (GDZX2501001, GDZX2401004, GDZX2201001), the Shenzhen Science and Technology Program (KQTD20240729102026004), and the Shenzhen Municipal Funding Co-Construction Program Project (SZZX2301004 and SZZX2401001). The high-magnetic-field work was supported by the National Key R&D Program of China (2023YFA1607701) and National Natural Science Foundation of China (51627901). We thank the staff members of the SMA and HM System (https://cstr.cn/31125.02.SHMFF.SM2.SMA, https://cstr.cn/31125.02.SHMFF.HM) at the Steady High Magnetic Field Facility, Chinese Academy of Sciences (https://cstr.cn/31125.02.SHMFF), for providing technical support and assistance in data collection and analysis. The resonant X-ray scattering experiments were supported by National Science and Technology Council (NSTC), Taiwan (Grant No. 113-2112-M-213-016). P.G. acknowledges the support from the New Cornerstone Science Foundation through the XPLORER PRIZE. We acknowledge Electron Microscopy Laboratory of Peking University for the use of electron microscopes. We acknowledge the support from International Station of Quantum Materials.
Author information
Authors and Affiliations
Contributions
M.Y., H.W. and J.T. contributed equally to this work. M.Y., Z.C. and D.L. conceived the research project. M.Y. and J.T. grew the samples with assistance from W.X., Z.D., B.F., L.S. and Z.P. H.W. and X.W. performed the in-situ reduction experiments. H.W., X.W., M.Y. and G.Z. performed the XRD characterizations. H.W. conducted the mutual inductance measurements, H.W. and J.T. performed the transport measurements. J.L., R.M. and P.G. conducted the STEM experiments. A.W., Z.W., M.Y. and H.H. conducted the high field measurements with the help from W.M., C.X., L.P. and Q.L. Y.W. and Q.W. conducted the RIXS measurements with the help from J.O., H.-Y.H. and D.-J.H. H.H., Q.W., P.G., Z.C. and D.L. acquired funding support. M.Y., J.T., W.X. and D.L. wrote the manuscript with contributions from all authors.
Corresponding authors
Ethics declarations
Competing interests
The authors declare no competing interests.
Peer review
Peer review information
Nature Communications thanks Yingying Peng, and the other, anonymous, reviewer(s) for their contribution to the peer review of this work. A peer review file is available.
Additional information
Publisher’s note Springer Nature remains neutral with regard to jurisdictional claims in published maps and institutional affiliations.
Supplementary information
Rights and permissions
Open Access This article is licensed under a Creative Commons Attribution-NonCommercial-NoDerivatives 4.0 International License, which permits any non-commercial use, sharing, distribution and reproduction in any medium or format, as long as you give appropriate credit to the original author(s) and the source, provide a link to the Creative Commons licence, and indicate if you modified the licensed material. You do not have permission under this licence to share adapted material derived from this article or parts of it. The images or other third party material in this article are included in the article’s Creative Commons licence, unless indicated otherwise in a credit line to the material. If material is not included in the article’s Creative Commons licence and your intended use is not permitted by statutory regulation or exceeds the permitted use, you will need to obtain permission directly from the copyright holder. To view a copy of this licence, visit http://creativecommons.org/licenses/by-nc-nd/4.0/.
About this article
Cite this article
Yang, M., Wang, H., Tang, J. et al. Enhanced superconductivity and mixed-dimensional behaviour in infinite-layer samarium nickelate thin films. Nat Commun 17, 2761 (2026). https://doi.org/10.1038/s41467-026-69650-3
Received:
Accepted:
Published:
Version of record:
DOI: https://doi.org/10.1038/s41467-026-69650-3






