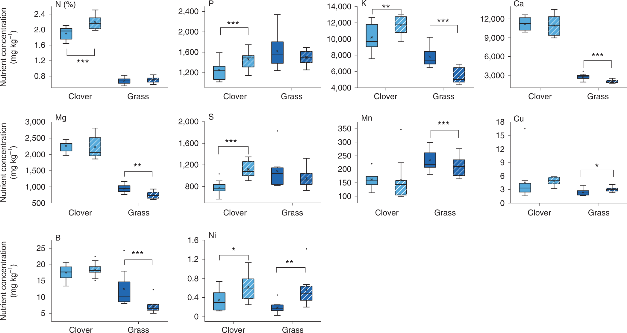
Fig. 4: Nutrient concentrations in foliage according to assemblage type.

Nutrient concentrations in the foliage of clovers and grasses according to whether they were growing alone (solid boxes) or in mixed-species assemblages (striped boxes) (n = 10). The asterisks show significant differences (*P < 0.05; **P < 0.01; ***P < 0.001). The box plots show the upper quartile, median and lower quartile from top to bottom (stars inside the boxes are means; points outside the boxes were excluded from the statistical analysis as outliers; whiskers indicate data range). The data were analysed using one-way ANOVA following log transformation where data were not normally distributed.