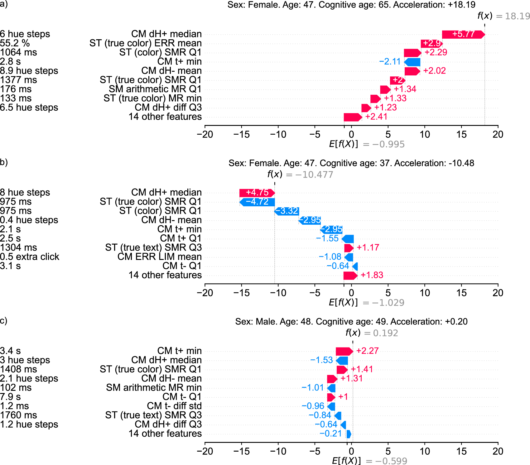
Fig. 4: Subject-specific SHAP contribution of the cognitive quantifiers to cognitive age deviation.
From: Cognitive aging clock based on Explainable artificial intelligence

SHAP waterfall plot illustrating the contribution of the cognitive quantifiers to cognitive age deviation individually per subject. The panels corresponds to the 3 representative subjects: a female, chronological age 47 years, cognitive age 65 years, cognitive age deviation +18.19 years; b female, chronological age 47 years, cognitive age 37 years, cognitive age deviation −10.48 years; c male, chronological age 48 years, cognitive age 49 years, cognitive age deviation +0.2 years.