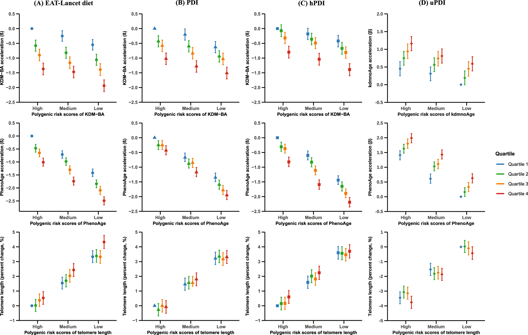
Fig. 2: The joint effects of four dietary patterns and genetic susceptibility on biological aging.
From: EAT-Lancet and plant-based diets, plasma metabolomic signatures, and biological aging

All models were adjusted for age, sex, Townsend index, BMI, smoking status, healthy drinking, physical activity, healthy sleep score, cardiovascular disease, cancer, diabetes, high cholesterol, hypertension, respiratory disease, and medication for cholesterol-lowering, anti-hypertensive, or anti-diabetes, genetic kinship, and the first 10 genetic principal components. A EAT-Lancet index. B PDI. C hPDI. D uPDI. PDI plant-based diet index; hPDI healthy plant-based diet index; uPDI unhealthy plant-based diet index; BMI body mass index; KDM-BA Klemera-Doubal biological age; PhenoAge phenotypic age.