Abstract
Frailty is a common geriatric syndrome associated with increased mortality, yet its underlying biological mechanisms and potential value for early risk stratification remain inadequately understood. In this large prospective cohort of more than 260,000 UK Biobank participants with plasma metabolomic profiling, we identified and validated metabolomic signatures of physical frailty and a 49-item frailty index using 50-times repeated 10-fold cross-validated elastic-net regression. The signatures demonstrated strong internal stability and geographic reproducibility and reflected coordinated alterations across lipid, amino acid, energy, and inflammatory pathways. Higher signature levels were significantly associated with increased risks of all-cause and cause-specific mortality, including cancer, cardiovascular, respiratory, and digestive deaths. Individuals in the highest-risk tertile had more than 2.5-fold higher risks of cardiovascular, respiratory, and digestive mortality. At age 60, individuals above the median signature level were estimated to have 4.1 fewer years of life expectancy. Mediation analyses indicated that the metabolomic signatures statistically explained up to 35% of the observed frailty–mortality association. Associations were stronger among younger individuals and differed by sex and BMI. These findings suggest that frailty-related plasma metabolomic signatures capture systemic metabolic correlates of biological aging and may support early mortality risk prediction and personalized prevention strategies in aging populations.
Similar content being viewed by others
Introduction
The rapid global aging of populations poses unprecedented challenges to healthcare systems, particularly due to rising burdens of all-cause and cause-specific mortality. Frailty is a clinical syndrome of increased vulnerability to adverse health outcomes in older adults, reflecting multisystem dysregulation and biological aging1,2,3. It is strongly associated with mortality, hospitalization, and disability4,5,6,7,8,9,10,11. Two widely accepted approaches are used to define frailty: physical frailty (PF) phenotype, based on functional decline4,12,13; and frailty index (FI), which quantifies the cumulative burden of health deficits and reflects accelerated biological aging7,14. Epidemiological studies suggest that frailty affects approximately 10–20% of community-dwelling older adults, with prevalence rising to 65% among individuals aged ≥90 years15,16,17. Despite its clinical and prognostic importance, current frailty assessment tools rely on physical performance tests or the accumulation of health deficits, which may lack sensitivity for early detection and offer limited insight into underlying biological mechanisms and personalized interventions.
Metabolomics, which captures the downstream molecular products of cellular processes, offers a promising approach to identify molecular signatures of frailty and its associated risks. Previous studies have linked individual metabolites to frailty or mortality1,18,19,20, but few have comprehensively investigated metabolomic patterns that define frailty and their potential to predict long-term mortality in large-scale populations. Moreover, the clinical utility of metabolomic frailty signatures for mortality risk stratification, especially in prefrail or early-aging adults, remains poorly defined.
In this prospective cohort study of over 265,000 participants in the UK Biobank, we aimed to develop and validate plasma metabolomic signatures associated with two established frailty measures—PF and a 49-item FI. We further evaluated the associations of these signatures with all-cause and cause-specific mortality, including cancer-, cardiovascular-, respiratory-, and digestive-related deaths. Using a combination of multivariable Cox proportional hazards models, dose–response analyses, and mediation analyses, we examined both the predictive value and potential biological pathways linking frailty and mortality. We also quantified the years of life lost (YLL) associated with metabolomic frailty and assessed subgroup differences by age, sex, and body mass index (BMI).
This study provides novel insights into the biological embedding of frailty through systemic metabolic alterations and demonstrates the potential of metabolomic frailty signatures as early biomarkers for long-term mortality risk. These findings may inform future efforts to identify vulnerable individuals earlier in the aging trajectory and support precision prevention strategies in geriatric care and public health.
Results
Study population characteristics
Among 266,699 participants included in FI–based analyses (median age 58.0 years; 46.1% male), 23,751 deaths occurred over a median follow-up of 13.76 years ([IQR] 13.01–14.48), including 12,092 from cancer, 8,917 from CVD, and 6,123 from respiratory diseases, and 1,957 from digestive diseases. Decedents were older and had higher BMI, more comorbidities, and less favorable socioeconomic and lifestyle profiles than survivors (Table 1). Similar patterns were observed in PF–based analyses (Table S1). Frailty severity was higher among older participants, women, those experiencing greater material deprivation, and individuals with more adverse health behaviors (Tables S2–S3).
Performance, internal stability, and external validation of elastic-net models
To assess the robustness and reproducibility of the metabolomic signatures, we conducted internal and external validation analyses (Figure S1; Tables S4–S7). In 50 × 10-fold repeated cross-validation, the optimal mixing parameter (α = 0.1) was consistently selected in all repetitions for both PF and FI, and the penalty parameter λ converged to a narrow region with highly concentrated selection frequency. Cross-validated MSE distributions showed little variability across repetitions, supporting the internal stability of the elastic-net models (Figure S1; Table S4). When models trained in England were applied without re-estimation to the geographically distinct validation cohort from Scotland/Wales, prediction accuracy remained closely comparable, with similar MSE, RMSE, MAE, and R² values across datasets (Table S5).
Across 100 bootstrap resamples, the elastic-net models demonstrated excellent internal stability (Tables S6–S7). For PF, 86% of metabolites were re-selected in ≥90% of iterations, and 91% in ≥ 60%. The corresponding proportions for FI were 90% and 97%, respectively. Together, these analyses demonstrate that the elastic-net models exhibited strong internal stability and robust geographic reproducibility.
Frailty-related metabolites and their associations with mortality
Elastic net regression identified 64 and 75 robust metabolites associated with PF and FI, respectively, with 54 shared metabolites (Fig. 1). These signatures involved lipid-related metabolites (including lipoprotein subclasses, fatty acids, and phospholipids), amino acids, energy metabolism markers, and inflammatory biomarkers.
A Physical frailty–related metabolic signature; B Frailty index–related metabolic signature. Each panel presents individual metabolites selected by elastic net regression. From right to left, the Figure displays: (1) the regression coefficients (weights) of each metabolite in the frailty-related metabolic signature; (2) the associations of each metabolite with all-cause and cause-specific mortality, including cancer, cardiovascular disease (CVD), respiratory disease, and digestive disease; and (3) multivariable linear regression coefficients (β) representing changes in standardized metabolite levels per 1-standard deviation (SD) increase in frailty severity. Estimates for mortality reflect the natural log of the hazard ratio (ln [HR]) per 1-SD increase in metabolite concentration. Colors indicate the direction and magnitude of associations, with red representing positive associations and blue representing inverse associations; darker shades reflect stronger associations. Asterisks denote statistical significance (* P < 0.05; ** false discovery rate (FDR) < 0.05). CVD cardiovascular diseases, FDR false discovery rate, HR hazard ratio, SD standard deviation.
Among selected frailty-related metabolites, 94% in both signatures (60/64 and 71/75) were significantly associated with all-cause mortality, with similarly high proportions linked to cause-specific mortality, indicating substantial pathway overlap. Several metabolites, including omega-3 fatty acids (e.g., docosahexaenoic acid [DHA]), linoleic acid, albumin, leucine, and histidine, were inversely associated with both frailty and mortality. In contrast, higher levels of glycoprotein acetyls (GlycA), very small VLDL particles, including particle concentration (XS-VLDL-P), free cholesterol (XS-VLDL-FC), and phospholipids (XS-VLDL-PL), and glucose-lactate were positively associated with both increased frailty severity and higher mortality risk.
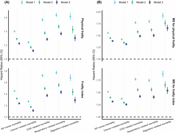
Associations of frailty and their metabolic signatures with mortality risk
Cox regression analyses revealed strong associations between frailty measures, their corresponding metabolomic signatures, and mortality (Fig. 2). After adjusting for potential confounders (Model 2), each SD increase in physical frailty was associated with elevated risks of all-cause mortality (HR = 1.29; 95% CI: 1.28–1.31), with similar patterns for cancer, CVD, respiratory, and digestive mortality. Comparable estimates were observed for FI, with HRs ranging from 1.18 for cancer-related mortality to 1.56 for respiratory-related mortality.
A Physical frailty and its metabolomic signature; (B) Frailty index and its metabolomic signature. Hazard ratios (HRs) and 95% confidence intervals (CIs) for all-cause mortality and cause-specific mortality (cancer, cardiovascular disease [CVD], respiratory disease, and digestive disease) were estimated per 1–standard deviation (SD) increase in frailty measures or frailty-related metabolomic signatures using Cox proportional hazards models. Three models were fitted sequentially: Model 1 adjusted for age and sex; Model 2 further adjusted for body mass index, Townsend Deprivation Index, ethnicity, education, physical activity, smoking status, alcohol intake frequency, fruit and vegetable consumption, oily and non-oily fish, red meat (beef, lamb, or pork), poultry, and processed meats; and Model 3 additionally included mutual adjustment for each clinical frailty measure and its corresponding metabolomic signature to assess their independent associations. Horizontal black dashed lines represent the reference value (HR = 1.0), indicating no association. CVD cardiovascular diseases, HR hazard ratio, CI confidence interval, SD standard deviation, MS metabolic signature.
Frailty-related metabolomic signatures tended to exhibit consistently stronger associations with mortality. For instance, each SD increase in metabolomic signature of PF was associated with elevated risks of all-cause (HR = 1.45; 95% CI: 1.43–1.46), cancer (HR = 1.35; 95% CI: 1.32–1.37), CVD (HR = 1.58; 95% CI: 1.55–1.61), respiratory mortality (HR = 1.62; 95% CI: 1.58–1.66), and digestive mortality (HR = 1.76; 95% CI: 1.70–1.83). Similarly, the metabolomic signature of the FI demonstrated comparable associations, with HRs ranging from 1.29 to 1.66.
In mutually adjusted models (Model 3), both frailty measures and their metabolomic signatures remained independently associated with mortality, suggesting they capture complementary biological dimensions. Variance inflation factors (VIFs) were below 2 for frailty measures and their corresponding metabolomic signatures (Table S8), and correlations between each frailty measure and its signature were < 0.35 (Figure S2), indicating no evidence of problematic multicollinearity.
Dose-response relationships between frailty measures, their metabolomic signatures, and mortality risk
Restricted cubic spline models revealed monotonic dose–response relationships between frailty measures, their metabolomic signatures, and all-cause mortality (Fig. 3). The association between FI and all-cause mortality appeared approximately linear across the exposure range (P for overall < 0.001; P for non-linearity = 0.808). PF and both metabolomic signatures showed statistically significant non-linear relationships with all-cause mortality risk. Nonetheless, risk increased consistently with greater frailty or metabolic burden. No clear thresholds, plateaus, or U-/J-shaped patterns were observed. Similar monotonic trends were evident for cause-specific mortality (Figures S3–S6). These findings highlight robust, dose-dependent associations between frailty-related metrics and adverse outcomes, supporting their potential utility in mortality risk stratification.
Restricted cubic spline (RCS) functions were used to model the dose–response associations of physical frailty (A), its metabolomic signature (B), frailty index (C), and its metabolomic signature (D) with all-cause mortality. Hazard ratios (HRs) and 95% confidence intervals (CIs) were estimated using Cox proportional hazards models adjusted for age, sex, body mass index, Townsend Deprivation Index, ethnicity, educational attainment, physical activity, smoking status, alcohol consumption frequency, and dietary factors including total fruit and vegetable intake, oily and non-oily fish, red meat (beef, lamb, or pork), poultry, and processed meat consumption. Curves represent adjusted HRs shown as solid red lines, with light pink shaded areas indicating the corresponding 95% CIs. Knots were placed at the 10th, 50th, and 90th percentiles of each exposure distribution. Horizontal black dashed lines represent the reference value (HR = 1.0). P-values for overall and non-linear associations were derived from likelihood ratio tests and are shown in each panel. MS metabolic signature, HR hazard ratio, CI confidence interval.
Incremental predictive value of frailty measures and metabolomic signatures
Adding frailty measures or their metabolomic signatures to the AgeSex reference model improved discrimination for all-cause and cause-specific mortality (Fig. 4; Table 2), although the magnitude of improvement varied across outcomes. We observed that PF yielded modest gains in C-statistics (ΔC-index 0.010–0.050), while the PF-associated metabolomic signature (MSPF) provided slightly larger improvements (0.022–0.080). Combining PF and MSPF achieved the greatest gains (0.025–0.092). Similar patterns were observed in the FI dataset. When added to the more comprehensive PANEL model, improvements were attenuated—as expected for a stronger baseline model—but remained directionally consistent across all mortality endpoints. Net reclassification analyses showed similar patterns: both frailty measures and metabolomic signatures improved 10-year risk classification when added to the AgeSex model, whereas improvements were minimal when supplementing the comprehensive PANEL model (Table 2).
A–E show model performance based on physical frailty (PF) and its associated metabolomic signature (MS-PF), and (F–J) show performance based on the frailty index (FI) and its associated metabolomic signature (MS-FI). Each dot represents the Harrell’s concordance index (C-index), with vertical error bars indicating 95% confidence intervals. Colors differentiate the eight model specifications. AgeSex refers to models adjusted only for age and sex. PANEL denotes multivariable models including age and sex, body mass index, Townsend Deprivation Index, ethnicity, education, smoking status, alcohol consumption frequency, physical activity, fruit and vegetable intake, oily and non-oily fish consumption, red meat (beef, lamb, or pork) intake, poultry intake, and processed meat consumption. For each outcome—including all-cause mortality (A, F), cancer-related mortality (B, G), CVD-related mortality (C, H), respiratory-related mortality (Panels D and I), and digestive-related mortality (E, J)—C-indices were compared across the following eight models: (1) AgeSex; (2) AgeSex + Frailty (PF or FI); (3) AgeSex + Metabolic Signature (MS-PF or MS-FI); (4) AgeSex + Frailty + Metabolic Signature; (5) PANEL; (6) PANEL + Frailty; (7) PANEL + Metabolic Signature; (8) PANEL + Frailty + Metabolic Signature. PF physical frailty, FI frailty index, MS-PF PF-associated metabolomic signature, MS-FI FI-associated metabolomic signature, C-index, Harrell’s concordance index, CVD cardiovascular disease.
Mortality risk stratification by frailty-related metabolic signatures
Participants were stratified into tertiles based on metabolomic signatures of PF (Fig. 5A) and FI (Fig. 5B). Across both stratifications, a clear mortality gradient was observed, with the highest-risk tertile showing the highest mortality rates, mortality densities, and HRs across all outcomes. For CVD, respiratory, and digestive mortality, HRs exceeded 2.5 compared to the lowest tertile. The differences across the risk groups were statistically significant for all outcomes (P-FDR < 0.001), underscoring the prognostic value of frailty-related metabolomic signatures in mortality risk stratification.
Participants were categorized into low-, moderate-, and high-risk groups based on tertiles of the frailty-related metabolic signatures. A Stratification based on the metabolic signature of physical frailty. B Stratification based on the metabolic signature of frailty index. For each risk group, the number of deaths, cumulative mortality rate (deaths per total participants), and mortality density (deaths per total person-years) are shown for all-cause mortality and for mortality due to cancer, cardiovascular disease (CVD), respiratory disease, and digestive disease. Hazard ratios (HRs) and 95% confidence intervals (CIs) were estimated using multivariable Cox proportional hazards models adjusted for age, sex, body mass index, Townsend Deprivation Index, ethnicity, education, physical activity, smoking status, alcohol consumption frequency, and dietary factors (fruit and vegetable intake; oily and non-oily fish; red meat, poultry, and processed meat). The low-risk group served as the reference. P values for between-group comparisons were corrected for multiple testing using the Benjamini–Hochberg method to control the false discovery rate (P-FDR). CVD cardiovascular disease, HR hazard ratio, CI confidence interval, P-FDR P-value adjusted for false discovery rate.
Years of life lost by frailty-related metabolic signatures
To assess longevity impact, YLL were estimated by comparing participants with metabolomic signature values above versus below the median (Fig. 6). At age 60, individuals with above-median levels of the PF-related metabolic signature lost an average of 4.17 years (95% CI: 4.02–4.42), and 4.11 years (95% CI: 3.94–4.28) for FI-related metabolic signature. These findings highlight a substantial life expectancy gap associated with metabolic frailty, reinforcing its prognostic value.
A Years of life lost (YLL) comparing participants above versus below the median of the metabolomic signature of physical frailty. B YLL comparing participants above versus below the median of the metabolomic signature of the frailty index. Participants were divided into two groups—those with metabolomic signature values above the median and those below the median. YLL estimates at each age from 45 to 100 years were calculated as the difference in residual life expectancy between the above-median (higher-risk) and below-median (lower-risk) groups. Estimates were derived from flexible parametric survival models using age as the time scale and assuming a lognormal distribution. Shaded areas indicate 95% confidence intervals obtained from 1,000 bootstrap resampling iterations. YLL years of life lost, CI confidence interval.
Mediation analysis of metabolic signatures in the frailty–mortality association
In statistical mediation analyses, frailty-related metabolomic signatures accounted for part of the observed associations between clinical frailty and mortality. For all-cause mortality, the PF-related metabolomic signature statistically explained 20.8% of the PF-mortality association, while the FI-associated signature accounted for 24.0% of the FI-mortality association (Fig. 7A). Across cause-specific mortality, the proportion mediated ranged from 18.7% to 34.3%, with the largest estimates observed for cancer (34.3% and 27.7%) and digestive mortality (29.1% and 25.3%; Fig. 7B–E).
Mediation analysis was performed to statistically decompose the associations between clinical frailty measures (physical frailty and frailty index) and mortality outcomes using frailty-related metabolomic signatures. A All-cause mortality; B Cancer-related mortality; C Cardiovascular disease (CVD) mortality; D Respiratory disease mortality; E Digestive disease mortality. Each panel presents the statistically estimated direct effect (the portion of the association not explained by the metabolic signature) and indirect effect (the portion of the association statistically attributed to the frailty-related metabolomic signature). Hazard ratios (HRs) and 95% confidence intervals (CIs) were estimated using Cox proportional hazards models with 1,000 bootstrap replications. The proportion mediated was calculated as the ratio of the log(HR) of the statistically estimated indirect effect to that of the total effect. All models were adjusted for age, sex, body mass index, Townsend Deprivation Index, ethnicity, educational attainment, physical activity, smoking status, alcohol consumption frequency, and dietary factors including total fruit and vegetable intake, oily and non-oily fish consumption, red meat (beef, lamb, or pork), poultry intake, and processed meat consumption. CVD Cardiovascular Disease, HR hazard ratio, CI confidence interval.
Because frailty and metabolites were measured at the same baseline visit, these estimates should be interpreted as a statistical decomposition of the total association rather than evidence of causality. To explore temporal ordering, we additionally performed mediation analyses using metabolomic signatures measured approximately 4 years after baseline, and observed generally consistent patterns (Figure S7), supporting—but not establishing—the hypothesized sequence between frailty, metabolic alterations, and mortality.
Subgroup and sensitivity analyses of frailty-related metabolic signatures and mortality risk
Subgroup analyses showed stronger associations between metabolomic signatures and mortality among participants <65 years (P for interaction <0.01; Figure S8). Sex-specific differences were observed: the PF signature was more strongly associated with cancer mortality in males, but more strongly linked to CVD and respiratory mortality in females. The FI signature showed consistently higher HRs in females for CVD, respiratory, and digestive mortality (Figure S9). In BMI-stratified analyses, individuals without obesity had greater cancer mortality risk per SD increase in both signatures (Figure S10).
In sensitivity analyses, associations between frailty-related metabolic signatures and mortality remained robust after excluding participants who died within the first two years of follow-up (Table S9), additionally adjusting for a series of baseline medication uses (Table S10), and further accounting for any type of vitamin or mineral supplement use (Table S11).
Discussion
In this large prospective cohort, we identified distinct plasma metabolomic signatures associated with both PF and FI, reflecting alterations in lipid metabolism, amino acid profiles, energy balance, and systemic inflammation. These signatures were strongly and consistently associated with all-cause and cause-specific mortality in a dose-dependent, monotonic manner. Stratification by signature tertiles revealed clear gradients in both relative and absolute mortality risk. Participants with higher signature levels had significantly shorter life expectancy. These signatures also partly accounted for the association between frailty and mortality. Given that frailty and metabolites were measured concurrently, these mediation estimates should be interpreted as statistical decompositions rather than causal effects. Nonetheless, supplementary mediation using metabolomic signatures measured approximately 4 years after baseline showed broadly consistent patterns, supporting—but not confirming—the plausibility of the hypothesized temporal sequence. Together, these findings suggest that metabolic dysregulation may contribute to the increased vulnerability to premature death observed among frail individuals.
Although frailty is a well-established predictor of mortality risk across populations4,7,8,10,21, most previous studies have relied solely on clinical assessments and offered limited insight into potential biological mechanisms. Meanwhile, prior research has independently demonstrated that frailty is associated with metabolic abnormalities and that metabolic dysregulation contributes to mortality risk20,22,23, but few studies have explicitly connected these components. Our study addresses this gap by identifying plasma metabolomic signatures of frailty and linking them to long-term mortality across multiple disease categories. In over 260,000 participants, we confirmed and extended earlier findings of metabolic disturbances associated with frailty, particularly disorders of lipid, glucose, amino acid, and inflammatory pathways18,19,20, and demonstrated that these disruptions may partially account for the relationship between frailty and mortality. These associations persisted after adjusting for clinical frailty, indicating that metabolomic signatures capture additional biological risk dimensions not reflected by traditional frailty measures. Importantly, although metabolomic signatures yielded incremental predictive gains beyond frailty measures, the magnitude of improvement was modest when added to the comprehensive PANEL predictors, which is consistent with expectations when introducing biomarkers to an already strong baseline model.
Subgroup analyses revealed stronger associations between metabolomic signatures and mortality among individuals aged < 65, consistent with evidence that frailty may exert disproportionate effects in younger populations7,9,14. We also observed sex-specific patterns14: PF signature was more strongly linked to cancer mortality in males, while associations with cardiovascular and respiratory mortality were more pronounced in females. These findings emphasize the importance of considering age and sex heterogeneity when applying frailty-related biomarkers in clinical or public health settings.
The identified frailty-related metabolic signatures are biologically plausible and reflect well-established pathways implicated in aging, chronic inflammation, and disease vulnerability. Key metabolites included markers of lipid metabolism (e.g., MUFA, omega-3 PUFA, XS-VLDL-P), energy metabolism (glucose-lactate, ketone bodies), amino acid availability (leucine, histidine), and systemic inflammation (GlycA, albumin), many of which have been associated with sarcopenia, immunosenescence, and all-cause mortality18,24,25,26. For instance, reduced levels of branched-chain amino acids and albumin have been associated with sarcopenia and frailty, while elevated GlycA and small VLDL particles reflect chronic inflammation and dysregulated lipid transport—hallmarks of biological aging. These signatures therefore capture biological features of vulnerability that may not be fully reflected by clinical frailty measures alone.
Our findings have important clinical and public health implications. Traditional frailty assessments rely on subjective self-report or performance-based criteria and may detect vulnerability at relatively late stages. In contrast, metabolomic profiling may enable earlier, more objective identification of at-risk individuals—particularly those in prefrail or subclinical states. These signatures may enhance precision in risk stratification and guide personalized prevention or intervention strategies. In our study, tertile-based stratification revealed strong gradients in mortality risk, while YLL estimates quantified the longevity burden associated with metabolic frailty. These metrics improve interpretability and may inform shared decision-making and care planning. From a population health perspective, integrating such biomarkers into screening, surveillance, or longitudinal monitoring frameworks could facilitate early detection and support strategies aimed at extending healthspan and reducing aging-related disease burden. However, implementation in routine practice will require further validation, streamlined platforms, and cost-effective assays.
This study has several strengths. First, it is one of the largest population-based prospective investigations to systematically characterize the metabolomic signatures of frailty and link them to mortality outcomes across major disease categories. Second, we employed two validated frailty constructs—PF and FI—capturing complementary aspects of physiological vulnerability. Third, we leveraged high-resolution, quality-controlled plasma metabolomics data and applied rigorous statistical modeling, including elastic net regression, reproducibility assessment via repeated cross-validation and bootstrap resampling, dose–response analysis, incremental predictive performance evaluation and risk stratification, mediation analysis, and bootstrap-based estimation of years of life lost, enabling a comprehensive evaluation of prognostic and mechanistic relevance.
Nonetheless, several limitations should be acknowledged. Frailty and metabolomic profiling were assessed at baseline, and potential changes over follow-up were not captured. While we adjusted for a wide range of confounders, residual confounding by unmeasured variables cannot be ruled out. Additionally, the UK Biobank is predominantly of European ancestry and healthier than the general population, potentially limiting generalizability; external validation in more diverse populations and clinically frail cohorts will be essential to strengthen applicability in broader settings. Finally, mediation estimates should be interpreted as statistical decompositions rather than causal effects, given the concurrent assessment of frailty and metabolites. Future work will evaluate these findings in cohorts with greater ancestral diversity and higher levels of clinical frailty to further strengthen generalizability. Experimental studies are needed to further elucidate these relationships.
In conclusion, we identified frailty-related plasma metabolomic signatures that reflect systemic biological dysregulation and are prospectively associated with all-cause and cause-specific mortality. These signatures may provide molecular insight into frailty-related biological processes and could serve as complementary indicators alongside clinical frailty assessments, potentially aiding earlier and more refined identification of individuals at elevated risk—including younger or pre-frail adults. Further external validation and longitudinal investigations are needed to determine their robustness and to clarify their potential value in precision risk stratification and strategies for healthy aging.
Methods
Study designs and populations
The UK Biobank is a prospective cohort of over 500,000 adults aged 40–69 years recruited between 2006 and 2010 from 22 centers across the UK. At baseline, participants completed questionnaires and interviews, underwent physical measurements, and provided venous blood samples for biomarker analyses27,28. This research complied with the principles of the Declaration of Helsinki. Written informed consent was obtained from all participants prior to their involvement, and ethical approval was granted by the North West Multi-Center Research Ethics Committee (reference11:/NW/0382). No additional ethical approval was required for the present analyses.
After excluding individuals who were lost to follow-up or withdrew consent (n = 1282), or lacked plasma metabolomic data (n = 232,512), 267,268 participants remained with ≥ 95% completeness of NMR-based metabolites. We further excluded 569 individuals with ≥ 10 missing FI items and 1,848 individuals with ≥ 2 missing PF items. The final analytic samples included 266,699 participants for FI–based analyses and 265,420 for PF analyses (Figure S11).
Assessment of PF and FI
Clinical frailty was assessed at baseline using two validated complementary approaches. PF followed a modified Fried phenotype4,5,12,13, based on five criteria: weight loss, exhaustion, inactivity, slow gait, and weak grip (Table S12). Participants were categorized as non-frail (0), prefrail (1–2), or frail (≥3). The 49-item FI used in this study was developed within the UK Biobank by Williams and his colleagues14, following the standard deficit-accumulation framework proposed by Rockwood and Mitnitski29. Item selection adhered to the established operational criteria defined by Searle et al., requiring deficits to (1) represent health-related conditions rather than lifestyle factors, (2) increase with age, (3) have ≥ 1% prevalence, (4) spanning multiple physiological systems, (5) not be nearly ubiquitous in midlife, and (6) have ≥80% completeness14,30. A systematic screening of baseline questionnaire and clinical assessment variables identified 49 deficits meeting these criteria, covering chronic diseases, symptoms, sensory impairments, functional limitations, and mental health and pain conditions (Table S13). Pairwise correlations among all deficits were <0.43, supporting the independent contribution of each deficit to the overall frailty burden. This FI was calculated as the ratio of present deficits to the total number of considered items, yielding a score from 0 to 1. Participants were classified as non-frail (≤0.12), prefrail (0.12–0.24), or frail (>0.24).
Plasma metabolite profiling
Plasma metabolomic profiling was performed using the standardized Nightingale Health® 1H-NMR platform, which applies automated spectral processing and plate-level quality control procedures, including internal calibrators and control samples on each 96-well plate. As reported in prior studies, this automated, chromatography-free workflow and harmonized quantification algorithms showed minimal batch variation. Therefore, no additional batch-correction procedures were applied. Samples not meeting predefined QC criteria were excluded27,31. A total of 170 metabolites were quantified in absolute concentrations, spanning amino acids, glycolysis intermediates, lipoprotein subclasses, fatty acids, ketone bodies, and inflammation-related biomarkers (Table S14). To reduce skewness and improve comparability, all metabolite concentrations were log-transformed and z-standardized prior to analysis.
Outcome ascertainment
Mortality data were obtained via linkage with national death registries in England, Wales, and Scotland. Causes of death were classified according to ICD-10 and ICD-9 (Table S15). Outcomes included all-cause mortality and cause-specific deaths from cardiovascular disease (CVD), cancer, respiratory disease, and digestive disease32,33. Mortality follow-up was complete through November 30, 2022. Participants were censored at the date of death or the end of follow-up, whichever occurred first.
Assessment of covariates
We adjusted for a range of covariates that may confound the associations between frailty, metabolomic profiles, and mortality. These included age, sex (male or female), body mass index (BMI), ethnicity (White or non-White), educational attainment (college/university degree or above vs. below), Townsend Deprivation Index (TDI), smoking status (never, former, or current), alcohol consumption frequency (never or ≤3 times/month, 1–2 times/week, 3–4 times/week, and daily or almost daily), physical activity, and dietary factors. TDI, a composite indicator of socioeconomic deprivation, was derived directly from the UK Biobank. Age, BMI, TDI, and physical activity (measured in weekly MET-minutes of moderate activity) were modeled as continuous variables. Dietary covariates included daily intake of fruits and vegetables (continuous) and consumption frequency of oily fish, non-oily fish, poultry, processed meat, and red meat (beef, lamb, or pork), categorized as never, < 1 time/week, once/week, 2–4 times/week, and ≥ 5 times/week.
Statistical analysis
Baseline characteristics were summarized according to mortality status and frailty categories. Continuous variables were reported as medians with interquartile ranges (IQRs) and compared using Kruskal–Wallis tests; categorical variables as counts (%) and compared using chi-squared tests. Missing frailty items were imputed using age-stratified medians for participants with ≥80% completeness. Metabolite concentrations exceeding four IQRs from the median were winsorized to the respective boundaries. Missing values for individual metabolites (<5%) were imputed using random forest regression with age as a predictor. Missing covariates (<20%) were imputed using multiple imputation by chained equations with random forests to generate five datasets34. Effect estimates from the primary regression analyses were pooled using Rubin’s rules to appropriately account for imputation uncertainty.
Elastic net regression was used to identify metabolites associated with PF and FI based on 170 original NMR-based metabolites. Elastic net regression combines LASSO and ridge regression to enable variable selection and coefficient shrinkage to improve performance in high-dimensional and multicollinearity data settings. To reduce overfitting and enhance generalizability, we used a geographically stratified design: participants from England served as the training set, and those from Scotland and Wales were reserved for geographically distinct external validation. Model hyperparameters (α and λ) were optimized using 50-times repeated 10-fold cross-validation within the England development cohort. For each α, the penalty parameter λ was chosen according to the 1-standard-error (1-SE) rule, thereby favouring more parsimonious models and reducing the risk of overfitting35. The final PF and FI elastic-net model was refitted in the full England development cohort using the optimal α–λ pair, and metabolites with non-zero coefficients were retained. To assess robustness of metabolite selection, we performed 100 bootstrap resampling iterations using the optimal hyperparameters and recorded the frequency with which each metabolite received a non-zero coefficient. Final metabolomic signatures for PF (MS-PF) and FI (MS-FI) were defined as the weighted sums of metabolites selected in ≥ 60% of bootstrap samples, with elastic-net coefficients serving as weights. Using models trained in England, we evaluated prediction performance in both the development cohort and the geographically distinct external Scotland/Wales cohort without re-estimation. Model accuracy was quantified using the mean squared error (MSE), mean absolute error (MAE), and coefficient of determination (R²).
Cox proportional hazards models were used to examine associations of frailty measures and metabolomic signatures with all-cause and cause-specific mortality. Model 1 adjusted for age and sex. Model 2 additionally adjusted for the full set of covariates described above, including lifestyle behaviors, dietary factors, adiposity, physical activity, and socioeconomic status. Model 3 jointly modeled frailty and its signature. Hazard ratios (HRs) with 95% confidence intervals (CIs) were estimated per standard deviation (SD) increase in frailty or metabolomic score. Multivariable linear regression assessed associations between frailty and each signature metabolite, and Cox models evaluated each metabolite’s link to mortality. Both analyses adjusted for Model 2 covariates. We evaluated multicollinearity using variance inflation factors (VIFs) derived from fully adjusted models. Correlations between frailty measures and corresponding metabolomic signatures were quantified using Spearman correlation coefficients.
Dose–response relationships between frailty measures, their metabolic signatures, and mortality risk were assessed using restricted cubic spline (RCS) in multivariable Cox proportional hazards models. Knots ranging from 3 to 7 were tested, and a 3-knot model (at the 10th, 50th, and 90th percentiles) was selected based on minimum Akaike Information Criterion (AIC).
Incremental predictive performance was assessed by comparing Harrell’s C-statistics, changes in C-statistics (ΔC-index), and 10-year risk net reclassification improvement (NRI), each with 95% confidence intervals derived from 1,000 bootstrap repetitions. Improvements were evaluated when adding (i) frailty measures alone, (ii) metabolomic signatures alone, and (iii) frailty measures together with corresponding metabolomic signatures to two reference models: an Age-Sex model and a comprehensive PANEL model including demographic, socioeconomic, lifestyle, and clinical factors.
Risk stratification was evaluated by categorizing participants into low-, medium-, and high-risk groups based on tertiles of the frailty-related metabolomic signature. All-cause and cause-specific mortality rates and mortality densities were calculated across risk groups to represent the absolute risk. Mortality rate was defined as the proportion of participants who died during follow-up. Mortality density was calculated as the number of deaths divided by total follow-up person-years, where person-years represented the cumulative follow-up time across all participants36,37,38. Multivariable-adjusted Cox proportional hazards models were used to estimate HRs and 95% CIs for mortality in the moderate- and high-risk groups, with low-risk group as the reference.
To assess longevity impact, we estimated years of life lost (YLL) between participants above versus below the median of each frailty-related metabolomic signature. Flexible parametric survival models with a lognormal distribution and age as the time scale were fitted using the flexsurvreg function. At each age from 45 to 100 years (in 1-year intervals), residual life expectancy was calculated as the area under the modeled survival curve from the given age to age 100, conditional on survival to the age39,40. YLL at each age was defined as the difference in residual life expectancy between the high-risk (above-median) and low-risk (below-median) groups. Estimates and 95% CIs were obtained using 1000 bootstrap resamples.
We statistically decomposed the association between frailty and mortality into direct and metabolomics-associated indirect effects. Models were adjusted for covariates in Cox Model 2. The proportion mediated was calculated as the log-HR of indirect effect divided by that of total effect, with 95% CIs derived from 1000 bootstrap resamples41. Because frailty and metabolites were measured concurrently at baseline, these estimates should be interpreted as statistical rather than causal effects. To explore temporal ordering, we additionally conducted a supplementary mediation analysis using metabolomic signatures measured approximately four years after baseline as the potential mediator.
Subgroup analyses were stratified by age (<65 vs. ≥65 years), sex, and obesity status. Interaction terms were included to test potential effect modification. Sensitivity analyses included: (1) excluding deaths within 2 years to reduce reverse causation; (2) further adjusting for baseline medication use (lipid-lowering agents, antihypertensives, insulin, aspirin, NSAIDs); and (3) additionally adjusting for vitamin and mineral supplement use.
All statistical analyses were performed in R version 4.3.1. All tests were two-sided and statistical significance was defined as P < 0.05 or FDR-adjusted P < 0.0542.
Data availability
The data that support the findings of this study are available from the UK Biobank (https://www.ukbiobank.ac.uk/), but restrictions apply to their availability. The data were used under licence for the current study and are therefore not publicly available. Access to the UK Biobank resource requires an approved application; researchers may apply for data access through the UK Biobank Access Management System.
References
Kim, D. H. & Rockwood, K. Frailty in older adults. N. Engl. J. Med 391, 538–548 (2024).
Hoogendijk, E. O. et al. Frailty: Implications for clinical practice and public health. Lancet 394, 1365–1375 (2019).
Dent, E. et al. Management of frailty: Opportunities, challenges, and future directions. Lancet 394, 1376–1386 (2019).
Hanlon, P. et al. Frailty and pre-frailty in middle-aged and older adults and its association with multimorbidity and mortality: A prospective analysis of 493,737 UK Biobank participants. Lancet Public Health 3, e323–e332 (2018).
Wen, L. et al. Association of frailty and pre-frailty with all-cause and cardiovascular mortality in diabetes: Three prospective cohorts and a meta-analysis. Ageing Res Rev. 106, 102696 (2025).
Peng, Y., Zhong, G.-C., Zhou, X., Guan, L. & Zhou, L. Frailty and risks of all-cause and cause-specific death in community-dwelling adults: A systematic review and meta-analysis. BMC Geriatr. 22, 725 (2022).
Fan, J. et al. Frailty index and all-cause and cause-specific mortality in Chinese adults: A prospective cohort study. Lancet Public Health 5, e650–e660 (2020).
Kojima, G., Iliffe, S. & Walters, K. Frailty index as a predictor of mortality: A systematic review and meta-analysis. Age Ageing 47, 193–200 (2018).
Jiang, M. et al. Frailty index as a predictor of all-cause and cause-specific mortality in a Swedish population-based cohort. Aging 9, 2629–2646 (2017).
Yang, Y., Chen, L. & Filippidis, F. T. Accelerometer-measured physical activity, frailty, and all-cause mortality and life expectancy among middle-aged and older adults: A UK biobank longitudinal study. BMC Med. 23, 125 (2025).
Ida, S., Kaneko, R., Imataka, K. & Murata, K. Relationship between frailty and mortality, hospitalization, and cardiovascular diseases in diabetes: A systematic review and meta-analysis. Cardiovasc Diabetol. 18, 81 (2019).
Fried, L. P. et al. Frailty in older adults: Evidence for a phenotype. J. Gerontol. A Biol. Sci. Med Sci. 56, M146–M156 (2001).
Fried, L. P. et al. The physical frailty syndrome as a transition from homeostatic symphony to cacophony. Nat. Aging 1, 36–46 (2021).
Williams, D. M., Jylhävä, J., Pedersen, N. L. & Hägg, S. A frailty index for UK biobank participants. J. Gerontol. A Biol. Sci. Med Sci. 74, 582–587 (2019).
Ofori-Asenso, R. et al. Global incidence of frailty and prefrailty among community-dwelling older adults: A systematic review and meta-analysis. JAMA Netw. Open 2, e198398 (2019).
Walsh, B. et al. Frailty transitions and prevalence in an ageing population: Longitudinal analysis of primary care data from an open cohort of adults aged 50 and over in England, 2006-2017. Age Ageing 52, afad058 (2023).
Gale, C. R., Cooper, C. & Sayer, A. A. Prevalence of frailty and disability: Findings from the English longitudinal study of ageing. Age Ageing 44, 162–165 (2015).
Kameda, M., Teruya, T., Yanagida, M. & Kondoh, H. Frailty markers comprise blood metabolites involved in antioxidation, cognition, and mobility. Proc. Natl. Acad. Sci. USA 117, 9483–9489 (2020).
Dzięgielewska-Gęsiak, S. & Muc-Wierzgoń, M. Inflammation and oxidative stress in frailty and metabolic syndromes-two sides of the same coin. Metabolites 13, 475 (2023).
Saedi, A. A., Feehan, J., Phu, S. & Duque, G. Current and emerging biomarkers of frailty in the elderly. Clin. Inter Aging 14, 389–398 (2019).
Shrauner, W. et al. Frailty and cardiovascular mortality in more than 3 million US veterans. Eur. Heart J. 43, 818–826 (2022).
Zhang, X.-R. et al. Improved prediction and risk stratification of major adverse cardiovascular events using an explainable machine learning approach combining plasma biomarkers and traditional risk factors. Cardiovasc Diabetol. 24, 153 (2025).
Wang, S. et al. Mitochondria-derived methylmalonic acid, a surrogate biomarker of mitochondrial dysfunction and oxidative stress, predicts all-cause and cardiovascular mortality in the general population. Redox Biol. 37, 101741 (2020).
Musso, G., Cassader, M., Paschetta, E. & Gambino, R. Bioactive lipid species and metabolic pathways in progression and resolution of nonalcoholic steatohepatitis. Gastroenterology 155, 282–302.e8 (2018).
Llauradó, G. et al. Measurement of serum N-glycans in the assessment of early vascular aging (arterial stiffness) in adults with type 1 diabetes. Diab Care 45, 2430–2438 (2022).
Chen, Y.-F. et al. n-3 polyunsaturated fatty acids in phospholipid or triacylglycerol form attenuate nonalcoholic fatty liver disease via mediating cannabinoid receptor 1/adiponectin/ceramide pathway. J. Nutr. Biochem 123, 109484 (2024).
Buergel, T. et al. Metabolomic profiles predict individual multidisease outcomes. Nat. Med. 28, 2309–2320 (2022).
Zhang, P.-D. et al. Associations of genetic risk and smoking with incident COPD. Eur. Respir. J. 59, 2101320 (2022).
Mitnitski, A. B., Mogilner, A. J. & Rockwood, K. Accumulation of deficits as a proxy measure of aging. Sci. World JOURNAL 1, 323–336 (2001).
Searle, S. D., Mitnitski, A., Gahbauer, E. A., Gill, T. M. & Rockwood, K. A standard procedure for creating a frailty index. BMC Geriatr. 8, 24 (2008).
Julkunen, H. et al. Atlas of plasma NMR biomarkers for health and disease in 118,461 individuals from the UK biobank. Nat. Commun. 14, 604 (2023).
Li, Z.-H. et al. Associations of regular glucosamine use with all-cause and cause-specific mortality: A large prospective cohort study. Ann. Rheum. Dis. 79, 829–836 (2020).
Zhu, K. et al. Proteomic signatures of healthy dietary patterns are associated with lower risks of major chronic diseases and mortality. Nat. Food 6, 47–57 (2025).
Buuren, van, S., Groothuis-Oudshoorn & mice:, K. Multivariate Imputation by Chained Equations in R. J. Stat. Softw. 45, 1–67 (2011).
Trevor Hastie, Robert Tibshirani, & Jerome Friedman. The Elements of Statistical Learning: Data Mining, Inference, and Prediction. (Springer New York Inc, New York, 2009).
Szklo, M. & Nieto, F. J. Epidemiology: Beyond the Basics. (Jones & Bartlett Learning, Burlington, Mass, 2014).
Celentano, D. D. & Szklo, M. Gordis Epidemiology. (Elsevier, lnc, Philadelphia, PA 19103-2899 USA, 2018).
Hennekens, Charles H. & Buring, Julie E. Epidemiology in Medicine. (Lippincott Williams & Wilkins, Philadelphia, PA 19106 USA, 1987).
Chudasama, Y. V. et al. Physical activity, multimorbidity, and life expectancy: A UK biobank longitudinal study. BMC Med. 17, 108 (2019).
Dehbi, H.-M., Royston, P. & Hackshaw, A. Life expectancy difference and life expectancy ratio: Two measures of treatment effects in randomised trials with non-proportional hazards. BMJ 357, j2250 (2017).
Kulesa, A., Krzywinski, M., Blainey, P. & Altman, N. Sampling distributions and the bootstrap. Nat. Methods 12, 477–478 (2015).
Benjamini, Y. & Hochberg, Y. Controlling the false discovery rate: A practical and powerful approach to multiple testing. J. R. Stat. Soc. Ser. B (Methodol.) 57, 289–300 (1995).
Acknowledgements
This study was conducted using data from the UK Biobank resource under application number 98679. We are grateful to all participants and professionals contributing to the UK Biobank. This work was supported by the National Natural Science Foundation of China to X.Z. (82304211), C.M. (82425052), C.D. (82271298), and X.F. (82201427), and by the Foundation of the National Health Commission Capacity Building and Continuing Education Center to C.D. (GWJJ2022100102). The funders had no role in the study design or conduct; data collection, management, analysis, or interpretation; manuscript preparation, review or approval; or the decision to submit the manuscript for publication.
Author information
Authors and Affiliations
Contributions
X.Z. and X.F. conceived and designed the study and contributed equally to this work. C.M. and C.D. supervised the study. X.Z., X.F., and Q.H. acquired, analyzed, and interpreted the data. X.Z., P.Z., and Z.L. provided statistical expertise. C.M., C.D., X.Z., X.F., W.L., and Q.H. contributed to the discussion and interpretation of the results. X.Z. and R.L. drafted the manuscript. All authors critically revised the manuscript for important intellectual content, approved the final version, and agreed to be accountable for all aspects of the work. C.M., C.D., X.Z., and X.F. secured funding. X.F. and Z.L. provided technical, material, or administrative support.
Corresponding authors
Ethics declarations
Competing interests
The authors declare no competing interests.
Additional information
Publisher’s note Springer Nature remains neutral with regard to jurisdictional claims in published maps and institutional affiliations.
Supplementary information
Rights and permissions
Open Access This article is licensed under a Creative Commons Attribution-NonCommercial-NoDerivatives 4.0 International License, which permits any non-commercial use, sharing, distribution and reproduction in any medium or format, as long as you give appropriate credit to the original author(s) and the source, provide a link to the Creative Commons licence, and indicate if you modified the licensed material. You do not have permission under this licence to share adapted material derived from this article or parts of it. The images or other third party material in this article are included in the article’s Creative Commons licence, unless indicated otherwise in a credit line to the material. If material is not included in the article’s Creative Commons licence and your intended use is not permitted by statutory regulation or exceeds the permitted use, you will need to obtain permission directly from the copyright holder. To view a copy of this licence, visit http://creativecommons.org/licenses/by-nc-nd/4.0/.
About this article
Cite this article
Zhang, X., Feng, X., Liu, W. et al. Frailty-related plasma metabolomic signatures predict long-term mortality risk and implicate systemic aging pathways: evidence from a prospective cohort study. npj Aging 12, 28 (2026). https://doi.org/10.1038/s41514-025-00327-9
Received:
Accepted:
Published:
Version of record:
DOI: https://doi.org/10.1038/s41514-025-00327-9









