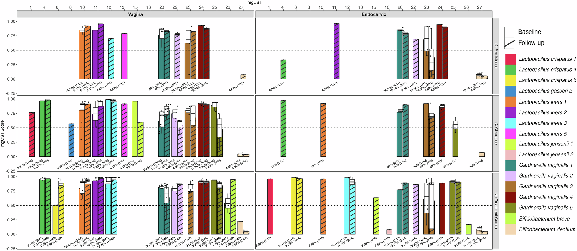
Fig. 4: Distribution of mgCST and mgSs types and scores for the paired endocervical (right) and vaginal (left) microbiomes for all three cohort datasets with baseline and follow up shown side-by-side.

mgCST classification numbers are shown at the top along the x-axis; mgCST score is shown on the y-axis. 16 (59.3%) of the 27 mgCSTs were found among the Fijian vaginal microbiomes and 15 (55.6%) in the endocervix. The bacterial species are represented by different colors in the color code displayed on the right of the bar graph; no strain types for mgSs are provided by the program, only numbers. The dashed horizontal line across each cohort graph denotes the mgCST score of 0.50. The white box, if shown, within each colored bar of the box plot represents the first (Q1) to the third (Q3) quartile with the median mgCST score denoted by a horizontal line; the whiskers indicate variability outside Q1 and Q3 where the minimum and maximum whisker values are calculated as Q1/Q3 −/+ 1.5 * IQR, with outliers shown beyond the whiskers. The black dots represent individual samples. The numbers below each box plot represent the percentage of samples for that mgCST with the actual numbers provided in parentheses.