Abstract
Antibiotics disrupt mucosal microbial communities, yet the effects on microbiomes infected with Chlamydia trachomatis (Ct) remain poorly understood. Some data exist on vaginal microbiomes, but none exist for the endocervix or rectum that are primary sites of infection. We applied metagenomic shotgun sequencing to vaginal, endocervical and rectal samples collected longitudinally from women who cleared their infection post-treatment (n = 10), had persistent infection (n = 11), or remained uninfected (n = 18) to evaluate azithromycin-induced changes in microbial composition, function, and the resistome over time. Our results show shifts in composition and function post-treatment that support persistent Ct, nonsynonymous Ct L22 amino acid substitutions that may be linked to azithromycin resistance, and significant endocervical increases in azithromycin resistance genes in Lactobacillus iners and Gardnerella vaginalis strains with moderate/high biofilm formation potential. These findings highlight the unintended ecological consequences of azithromycin treatment, including likely resistance gene propagation, emphasizing the need for novel treatment and microbiome-preserving strategies.
Similar content being viewed by others
Introduction
Chlamydia trachomatis (Ct) is the most prevalent bacterial sexually transmitted infection worldwide1. Pacific Island countries and territories (PICT) of the Western Pacific Region have some of the highest reported global rates of Ct sexually transmitted infections (STIs)2,3. In Fiji, the most recent data from 2023 showed a prevalence of 29.4% among women aged 18–24 years and 17% for those 25–40 years4. This high prevalence is due, in part, to syndromic management, which relies on patient symptoms and easily identifiable clinical signs to determine the need for antibiotic treatment5. However, this approach is especially problematic for STIs such as Ct where up to 80% of the cases are asymptomatic6,7,8. Indeed, syndromic management has missed ~90% of Ct infections in Fiji8, 77.8% in South Africa9 and 80% in Papua New Guinea10. As a result, untreated Ct infections can progress to upper genital tract sequelae, including pelvic inflammatory disease, tubal factor infertility, ectopic pregnancy and preterm birth2,3,11,12,13,14 along with unchecked transmission to partners.
A healthy vaginal microbiome is crucial for preventing STIs and is classified based on five community state types (CSTs) and 15 subCSTs15,16,17,18. subCST I-A and I-B, CST II, CST III-A and III-B and CST-V are dominated by Lactobacillus crispatus, L. gasseri, L. iners, and L. jensenii, respectively. In general, Lactobacillus species produce lactic acid, bacteriocins, and other antimicrobial compounds that restrict infection by most pathogenic bacteria15,16,17,18. CST IVs are abundant in diverse facultative and strict anaerobic organisms such as Gardnerella, Atopobium, Megasphaera, Prevotella, and Mobiluncus with a dearth of Lactobacillus spp. and include five previous and four new subCSTs. The latter four were identified using metagenomic shotgun sequences (MSS) and the relative abundance of bacteria from the microbiomes of diverse Pacific Islander ethnicities in Fiji16. Because of the lack of protective effects of most Lactobacillus spp., except for L. iners, subCST IIIs and subCST IVs are predisposed to bacterial vaginosis (BV) with an increased risk of Ct and other STIs like Neisseria gonorrhoeae (Ng), herpes simplex virus type 2 (HSV-2), human Papillomavirus (HPV), and human immunodeficiency virus (HIV-1)19,20,21.
A few studies have shown that the vaginal microbiota responds to antimicrobial treatment with shifts in microbial composition22,23,24. Using 16S rRNA sequencing of vaginal samples from Asian women, one study reported that Ct infections treated with azithromycin can lead to an L. iners-dominant microbiome (i.e., subCST III-A or III-B) that transitioned from a higher relative abundance of Enterobacter, Prevotella, and Streptococcus spp. associated with subCST IVs24. This post-treatment abundance of L. iners was postulated to be a result of L. iners resistance to azithromycin. Unlike other Lactobacillus species, L. iners is unable to produce D (-) lactic acid, but can downregulate histone deacetylase 4, which typically prevents Ct induced cell proliferation25. As a result, L. iners is predicted to create a vaginal microenvironment susceptible to Ct reinfection and to other STIs25,26. This is consistent with another study that showed an association between L. iners-dominated microbiomes and incident Ct infection19.
There are limited data on the effects of treatment on vaginal microbiomes that, to date, have relied on 16S rRNA sequencing, and none on the endocervical or rectal microbiomes. We therefore employed MSS to investigate the impact of azithromycin on the microbial composition, functional dynamics and resistomes of paired vaginal, endocervical and rectal microbiomes among Ct-infected women in Fiji who were treated at baseline and then seen for post-treatment follow-up. These data were compared to uninfected, untreated women in all sites at both time points.
Results
Patient and sample characteristics, and metagenomic shotgun sequencing data
Women 18–40 years of age attending Fiji Ministry of Health and Medical Services (MHMS) health centers and two university clinics were enrolled in the parent study as described4,27. Three cohorts with paired endocervical, vaginal and rectal samples were created based on presence/absence of Ct infection and their clearance or persistence of infection three months following azithromycin treatment, including one cohort of women who remained free of infection and were not treated (Fig. 1).
Schematic representation of the three cohorts of Pacific Islander women residing in Fiji with C. trachomatis (Ct) status at baseline and follow-up at 3 months, anatomic sites tested, and treatment regime.
The vaginal, endocervical and rectal metagenome data were pre-processed as previously described16,28 and yielded a total of 7.3 billion, 7.9 billion and 3.4 billion raw reads, respectively, of which 6.4 billion (87.19%), 7.2 billion (91.42%) and 1.2 billion (35.92%) were identified as human contamination, respectively (Supplementary Table S1).
The metadata for the study are shown in Supplementary Table S2 and were provided by the parent study4,27 including infection status for Ct and Ng based on the GeneXpert CT/NG assay. Ng, Mycoplasma genitalium (Mg), Trichomonas vaginalis (Tv) and low risk (lr) and high risk (hr) Human Papilloma Virus (HPV) types were identified from the MSS data (see Methods).
For the Ct persistence cohort, Ng cases increased from 36.3% to 45.5% for vaginal, 63.6% to 81.8% for endocervical and 36.3% to 63.6% for rectal microbiomes at baseline and follow-up, respectively (Supplementary Table S2). The proportion of endocervical Ng cases in this cohort at follow-up were significantly higher than the untreated cohort (P < 0.021; OR: 9; 95% CI: 1.46–55.5) (Fig. 2A). In the Ct clearance cohort, vaginal Ng cases were like the persistence cohort (40%), but lower for the endocervix (30%) at both baseline and follow-up with no rectal Ng infections. Among controls, Ng cases were low and similar at baseline and follow-up with no rectal Ng infections at follow up. Very few Mg and Tv cases were detected in any cohort (Supplementary Table S2).
A Proportion with N. gonorrhoeae. B Proportion with hrHPV. P values are shown when <0.1. There were no N. gonorrhoeae infections in the rectum at follow-up for the C. trachomatis (Ct) clearance and no treatment cohorts.
The distribution of lrHPV and hrHPV in the paired vaginal, endocervical and rectal microbiomes for the three cohort datasets are shown in Supplementary Table S3. There were no significant differences at baseline or at follow-up in the proportion of hrHPV types between the three anatomic sites or between baseline and follow-up for the respective cohort. While women at baseline were not significantly more likely to have the same hrHPV type at follow up, women in both the Ct persistent and Ct clearance cohorts were significantly more likely to have any hrHPV type in the endocervix (P < 0.048; OR: 6.1; 95% CI: 1.1–33.3; and P < 0.035; OR7.5; 95% CI: 1.28–44.1, respectively) and, for the Ct persistence cohort, in the vagina (P < 0.017; OR: 8.6; 95% CI: 1.5–50.1) following treatment compared to uninfected women who were not treated (Fig. 2B).
Emergence of pathobionts in the endocervical and rectal microbiomes following azithromycin treatment contribute to Ct persistence
The Linear Decomposition Model (LDM)29 was employed to identify species associated with Ct clearance and persistence in comparison to the no treatment control cohort at baseline and at follow-up in the three paired anatomic sites (Fig. 3). While there were no differences at baseline, several species were significantly associated with Ct persistence at follow up, including Ng in the endocervix, Leptotrichia hofstadil in the vagina, and several BV-associated and other species in the rectum such as Ng, Streptococcus lutetiensis, Prevotella spp. CAG 1092 and CAG 5226, Ruminococcus sp. CAG 330, Prevotella sp. 885, Actinomyces naeslundii and Fusobacterium mortiferum (Fig. 3).
No significant differences were found at the baseline timepoint. Only species with a significant adjusted P value < 0.05 (upper left corner of each bar graph) are represented.
Species predictive of persistent C. trachomatis infection following azithromycin treatment
We also employed the LDM29 to identify taxa that changed in relative abundance before and after azithromycin treatment. While there are no published biomarkers at baseline that would predict clearance or persistent Ct infection following treatment, we found that Campylobacter hominis (P = 0.005), Coprococcus catus (P = 0.005), Ruminococcus callidus (P = 0.0471) and Roseburia inulinivorans (P = 0.0471), and a decrease in Lactobacillus acidophilus (P = 0.0075) and Lactobacillus fermentum (P = 0.012), were significant baseline predictors for women who developed Ct persistence at follow up, but only in the rectum. Ruminococcus spp. are associated with gut microbiome enterotype 3 while L. acidophilus and L. fermentum are inversely correlated with enterotype 130. The baseline rectal microbial diversity for the Ct persistence cohort was significantly different from the Ct clearance (P = 0.002) and control cohorts (P = 0.0002).
In comparing the relative abundance of the species in each anatomic site, there was a significant effect of time between baseline and follow-up, and a significant difference in the microbiome transition in each anatomic site based on the interaction of time and anatomic site (P = 0.0002). The species responsible for these differences were Acidaminococcus fermentans, Agathobaculum butyriciproducens, Anaerococcus vaginalis and several species from the genus Actinomyces (all at P = 3.24e−05).
Overall, the cohort datasets of paired vaginal, endocervical and rectal sites did not show any significant difference in alpha diversity between baseline and follow up for any cohort, although there was a decrease in log richness and Shannon diversity for each anatomic site except for log richness for the endocervix (Supplementary Fig. S1). Among women whose Ct infection persisted, there was a slight increase in species richness and Shannon diversity from baseline to follow-up, particularly in the vagina and rectum (Supplementary Fig. S1). There was also no significant difference in beta diversity between baseline and follow up for any cohort (Supplementary Fig. S2).
Comparison of subCST and mgCST classification systems revealed lack of well-defined and characterized mgCST categories for Pacific Islander microbiomes
The overall accuracy of the metagenomic (mg)CST system31 was compared with the expanded subCST system that we developed in 2023 for classification and functional associations of the Pacific Islander endocervical and vaginal microbiomes16. The microbiomes of the three cohort datasets that included paired endocervical and vaginal samples (Fig. 1) and another cohort with only vaginal samples (see Methods) represented mainly subCST III-A and III-B, and IV-B, IV-D0, IV-D1, IV-D2 and IV-E. Common mgCSTs were 10 (mgS: L. iners 1), 12 (mgS: L. iners 3), 20 (mgS: Gardnerella vaginalis 1) and 24 (mgS: G. vaginalis 4) (Supplementary Table S4).
Among Pacific Islander microbiomes, 10.5% (22/209) of vaginal and 25.6% (20/78) of endocervical microbiomes had mgCST scores of less than 0.5, indicating low similarity to the reference centroid of the assigned mgCST (Supplementary Table S4). In the Holm et al. study31, the lowest similarity scores (<0.5) were attributed mainly to mgCST 27, which represents ‘other’ bacteria that are not defined. The assigned mgCSTs with low scores among vaginal microbiomes were 6, 25, and 27; the latter had 40.9% (9/22) of the low scores (Fig. 4). In the endocervix, mgCST 4, 16, 23, 26 and 27 had low scores with mgCST 27 having 40% (8/20) (Fig. 4). Of the microbiomes with mgCST 27 and scores <0.5, 93.8% (15/16) of vaginal and 100% (6/6) of endocervical were classified as subCST IV-E (Supplementary Table S4), which has a high to moderate abundance of Prevotella spp. with P. bivia as the most abundant and appear to be unique to Pacific Islanders. This relative abundance profile is not represented in any mgCST.
mgCST classification numbers are shown at the top along the x-axis; mgCST score is shown on the y-axis. 16 (59.3%) of the 27 mgCSTs were found among the Fijian vaginal microbiomes and 15 (55.6%) in the endocervix. The bacterial species are represented by different colors in the color code displayed on the right of the bar graph; no strain types for mgSs are provided by the program, only numbers. The dashed horizontal line across each cohort graph denotes the mgCST score of 0.50. The white box, if shown, within each colored bar of the box plot represents the first (Q1) to the third (Q3) quartile with the median mgCST score denoted by a horizontal line; the whiskers indicate variability outside Q1 and Q3 where the minimum and maximum whisker values are calculated as Q1/Q3 −/+ 1.5 * IQR, with outliers shown beyond the whiskers. The black dots represent individual samples. The numbers below each box plot represent the percentage of samples for that mgCST with the actual numbers provided in parentheses.
There were no statistically significant differences between baseline and follow-up mgCSTs for either vaginal or endocervical microbiomes.
Extending the analysis to metagenomic subspecies (mgSs), in the vaginal microbiomes, L. iners mgSs 3 (mgCST 12) was significantly associated with absence of BV (P = 0.016), while G. vaginalis mgSs 4 (mgCST 24) was associated with BV (P = 0.025) (Supplementary Table S5); mgSs 4 was not included in the classification system31 as it occurred in relatively low numbers and therefore could not be tested in our samples. L. iners mgSs 3 (mgCST 12) and G. vaginalis mgSs 1 (mgCST 20) were associated with vaginal Ct (P = 0.042 and P = 0.026, respectively). G. vaginalis mgSs 1 (mgCST 20; P = 0.007) was associated with Ct endocervical infection (Supplementary Table S5).
For subCSTs, subCST III-A was associated with absence of BV (P = 0.006) in the vagina (Supplementary Table S6), while subCST IV-A and IV-B were associated with Ct (P = 0.026 and P = 0.029, respectively). There were no associations of any subCST with Ct infection in the endocervix.
Transitions between subCSTs revealed frequent shifts from Lactobacillus-dominated (subCSTs I, II, V) communities to L. iners or anaerobe-dominated (subCSTs III or IV, respectively) states, particularly across endocervical and vaginal sites. Conversely, reverse transitions toward Lactobacillus-dominant profiles were also observed (Supplementary Fig. S3).
Distinct phylotypes occur in endocervical, vaginal and rectal microbiomes where within host bi-directional genito-rectal and recto-genital species transmissions are evident
Three distinct phylotypes were identified that were similar among the three cohort datasets based on Bray–Curtis hierarchical clustering with each phylotype dominated by a specific group of bacterial species unique to that clade (Fig. 5). Phylotype I was dominated by G. vaginalis, Lactobacillus spp., and a group of pathogens including Prevotella spp., Atopobium vaginae, Megasphaera genomosp., Sneathia amnii and BVAB1 that are associated with BV consistent with subCST IVs; Phylotype II was dominated by L. iners, L. crispatus, G. vaginalis and the occasional presence of Prevotella spp. and Finegoldia magna. These two phylotypes were found primarily among endocervical and vaginal microbiomes with CSTs I, III and V. Phylotype III largely consisted of rectal microbiota, dominated by a group of BV-associated and gut bacteria such as Prevotella spp., F. magna, Bifidobacterium adolescentis, Faecalibacterium prausnitzii and the occasional presence of Peptoniphilus lacrimalis, Anaerococcus vaginalis and Peptoniphilus harei.
The level of microbial sharing between microbiomes among the three anatomic sites is shown. The red horizontal lines separate the phylotypes within each cohort. The participant ID and the respective anatomic site are shown on the y-axis to the right of the heatmap (i.e., C, endocervix in red; V, vagina in red; R, rectum in blue; F, follow-up). The associated species are shown below each heatmap. Within-host genital to rectal (GRT; rectal samples in Phylotypes I or II; red arrows) or rectal to genital (RGT; endocervical or vaginal samples in Phylotypes III; orange arrows) transmission for each of the three cohort datasets at baseline and/or at follow-up can be appreciated (see also Fig. 6). The blue arrows denote complete or almost complete GRT transmissions of L. iners or G. vaginalis. The dendrograms were set at a distance threshold of 0.9 (see Methods).
The presence of any rectal sample in Phylotypes I and II was suggestive of genital to rectal transmission (GRT; Figs. 5 and 6: red and blue arrows) while the presence of any endocervical or vaginal samples in Phylotype III was suggestive of rectal to genital transmission (RGT; Figs. 5 and 6: orange arrows). RGT transmission occurred only in two women from the no treatment control cohort in both the vagina and endocervix (Figs. 5 and 6: orange arrows: 922FV, 922FC, 725FV, and 725FC). In some women who were treated, transmissions occurred at baseline and follow-up while for others it occurred at one time point. A complete or near complete GRT resulted in super-colonization of the rectal microbiome in only two women with G. vaginalis or L. iners (Figs. 5 and 6: blue arrows: 783R and 927R). Some transmissions were partial with the presence of one or two species such as L. iners and/or G. vaginalis in low abundance in the rectum and were usually present in rectal Phylotype III. Other rectal samples with GRT were present in Phylotypes I and II (Fig. 6: red arrows). In all cases of complete and partial GRT, the rectal microbiomes could not be classified by the enterotype classification system32 because of the mixed origins of the microbial composition of these microbiomes (i.e., enterotypes labelled as “N”; Fig. 6: red and blue arrows).
The two bargraphs above the participant ID anatomic site of C (endocervix), V (vagina), or R (rectum) represent baseline (left bargraph) and follow-up (right bargraph) time points. The subCST classification (see Supplementary Table S4) is noted at the top of each baseline and follow-up taxonomic bar graph for the vagina and endocervix; enterotype is shown at the top for the rectum where an N denotes an inability to determine an enterotype. The top 25 most abundant species are shown for each cohort dataset (color code shown on right). The remaining species are grouped in the category “Others.”.
A relatively high relative abundance of Ct—up to 52%—was visibly noted in baseline endocervical microbiomes of women undergoing antibiotic treatment for Ct infection and in the follow up endocervical microbiomes in Ct persistence cases (Fig. 6; see asterisks). The relative abundance profiles of each anatomic site-specific microbiome are shown in Supplementary Figs. S4–S6.
Microbiome function-level sharing between the vagina, endocervix and rectum were different for the Ct persistence, Ct clearance and control cohorts
In comparing the functional determinants across the three anatomic sites, the rectal site was metabolically more diverse with almost twice the number of pathways compared to the endocervix and vagina (Fig. 7). Moreover, most of the metabolic pathways in the endocervix and vagina were shared with the rectum, either individually or combined.
The size of the circle represents the number of function-level pathways comprising that circle. Supplementary Tables S7–S12 show the pathways associated with each function for each anatomic site and whether pathways are shared among two or three sites. Vaginal, endocervical and rectal sites are represented as blue, red and yellow, respectively; overlap between two or all three sites are represented in the color key. Red font denotes functions and pathways unique to a particular anatomic site or shared anatomic site.
Among women with Ct persistence, only a few pathways were unique to the baseline time point compared to follow up (Fig. 7; Supplementary Table S7) including Ct-specific galacticol and phosphatase pathways in the endocervix and rectum. At follow-up, compared to baseline only galactitol degradation in the rectum; glucose and glucose-6-phosphate degradation in the vagina and rectum; and nucleotide degradation in the rectum and endocervix were observed (Fig. 7; Supplementary Table S8).
Among women with Ct clearance, Ct-specific pathways at baseline compared to follow up were identical to those for Ct persistence with a few that were unique: starch degradation III pathway in the rectum; NAD salvage pathway II in the vagina and rectum; L-lysine and nucleotide biosynthesis in the endocervix and rectum; and stachyose degradation pathways in all three sites (Supplementary Table S9). At follow-up, several new pathways were observed: polyamine biosynthesis and amino acid degradation in the endocervix; L-selenocysteine biosynthesis in the vagina; folate transformations in the vagina and endocervix; generation of precursor metabolites and energy in the vagina and rectum (Fig. 7; Supplementary Table S10).
For the no treatment control cohort, the function-level sharing was similar between baseline and follow up time points with minimal differences (Fig. 7, Supplementary Tables S11, S12).
Pathways for generation of precursor metabolites, energy and polyprenyl biosynthesis by Ct-associated microbiomes in the endocervix are associated with Ct infection clearance following azithromycin treatment
Among women who cleared their infection, the function-level community analysis for relative abundance showed a significant increase in carboxylate degradation (P < 0.05) and decrease in pentose phosphate pathways (P < 0.05) and polyprenyl biosynthesis (P < 0.05) at follow-up compared to baseline, but only in the endocervix (Fig. 8A). Figure 8B shows the microbial species associated with the pathways of these functions. Significant pathways at baseline compared to follow up were associated with Ct and a few BV-associated bacteria in the endocervix prior to treatment (Fig. 8C; Supplementary Table S13). Similar to the function-level analysis, Ct-associated pentose phosphate pathways and polyisoprenoid biosynthesis via MEP pathways were significantly higher at baseline and negligible or absent at follow-up. In addition, isoprene and heme b (aerobic and anaerobic) biosynthesis were also significantly higher at baseline. In the rectum, most pathways were associated with BV-associated and gut bacteria.
A Function-level analysis shows the three functions that had significantly different relative abundances between baseline and follow-up microbiomes for the endocervix. No functions were significantly different for the vaginal or rectal sites. B Microbial contributions for each function and associated pathways are shown for baseline and follow-up. The species associated with each pathway are in Supplementary Table S13. C Pathway-level community analysis for pathways for each anatomic site that have a significant difference in relative abundance between baseline and follow-up. Species represented in the graphs are color-coded as per the columns to the right of the graphs. *P < 0.05; **P < 0.005.
Pathways for production of secondary metabolites by Ct, BV-associated and gut bacteria in the rectum act as a hallmark of Ct survival and persistence following azithromycin treatment
Function-level community analysis for the Ct persistence cohort revealed a significant increase in secondary metabolite biosynthesis pathway relative abundance following treatment compared to baseline but only in the rectum (Fig. 9A). Figure 9B shows the microbial species associated with the function pathways. Pathway-level community analysis revealed a significant increase in the abundance of pathways related to fatty acid and lipid biosynthesis at follow-up largely driven by BV-associated and gut bacteria; only the CDP-diacylglycerol biosynthesis pathway was associated with Ct (Fig. 9C; Supplementary Table S14). Saturated and unsaturated fatty acid, cofactor, and nucleotide biosynthesis pathways were significantly reduced in abundance at follow-up. Among these, 5Z-dodecenoate biosynthesis, palmitoleate biosynthesis I and fatty acid elongation pathways were associated with Ct and other BV-associated and gut species.
A Function-level analysis shows one function that had a significantly different relative abundance between the rectal baseline and follow-up samples. No functions were significantly different for the endocervical or vaginal sites. B The microbial contribution for the function and associated pathways are shown for baseline and follow-up. The species associated with each pathway are listed in Supplementary Table S14. C Pathway-level community analysis shows those pathways for each anatomic site with a significantly different relative abundance between baseline and follow-up. Species represented in the graphs are color-coded as per the columns to the right of the graphs. *P < 0.05; **P < 0.005.
Function-level analysis and associated pathways by microbial species of the no treatment control cohort are shown in Supplementary Fig. S7A, B. Only a few pathways were significantly different between the two timepoints but with extremely low pathway abundance (<0.1%) except for a few vaginal, endocervical and rectal pathways driven by gut bacteria (Supplementary Fig. S7C; Supplementary Table S15).
Antibiotic resistance genes (ARGs) conferring macrolide resistance in L. iners and G. vaginalis strains from azithromycin treatment, tetracycline resistance in L. iners and mutations in Ct that may confer macrolide resistance
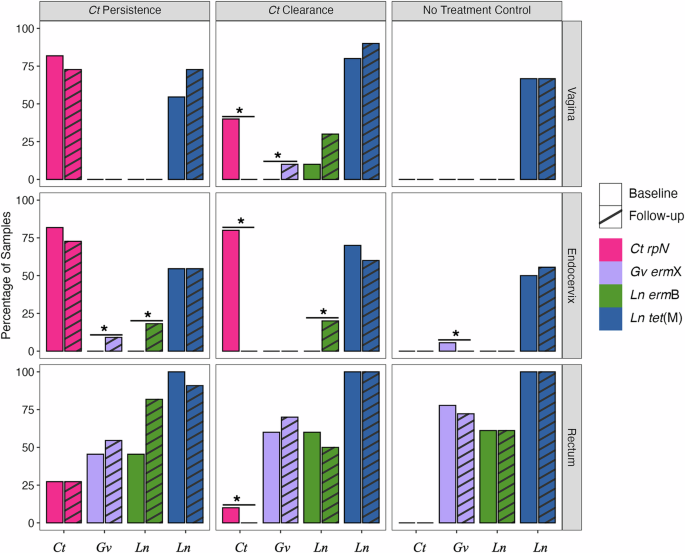
We used the CARD (Comprehensive Antibiotic Resistance Database) database to identify any gene with at least a BLAST bitscore of 500 to antibiotic resistance genes (AGRs) among the microbiomes in the three cohort datasets. We also pulled Ct 23S rRNA, rplV and rplD genes—thought to be involved in azithromycin/macrolide resistance32,33,34,35—to identify any mutations potentially associated with resistance. AGRs identified by CARD were ermB and ermX that confer macrolide resistance, and tetM that confers tetracycline/doxycycline resistance36,37,38. Supplementary Table S16 shows the distribution of samples at baseline and follow-up with ARGs and gene mutations that may confer the respective resistance for the respective pathogen.
Figure 10 shows the overall proportion of each ARG and the rplV gene with mutations for the three cohorts. We analyzed the proportion of each gene at baseline compared to follow-up for each of the three cohorts using McNemar’s test (Fig. 10; see Methods). While there were no mutations in Ct 23S rRNA or rplD genes, mutations in the rplV gene were highly prevalent at baseline and follow-up in the vagina and endocervix (74% to 80% for each, respectively), and 25% in the rectum for both timepoints, for the Ct persistence cohort (Fig. 10). These mutations were significantly more likely to occur in vaginal, endocervix and rectal microbiomes (P = 0.041, P = 0.013 and P = 0.007, respectively) in the Ct clearance only cohort at baseline compared to follow-up (Fig. 10; Supplementary Table S16). Three nonsynonymous substitutions in L22—Gly52->Ser, Arg65->Cys, Val77->Ala—were identified based on MAFTT alignments with an L22 reference protein (see Methods) that have previously been attributed to azithromycin resistance or reduced in vitro sensitivity35 (Supplementary Fig. S8). One endocervical sample initially had the Gly52->Ser and Val77->Ala mutations and acquired Arg65->Cys following treatment.
Bar plots show the percentage of samples positive for each gene at baseline and follow-up. Asterisks indicate statistically significant differences between baseline and follow-up within each of the Ct persistence, Ct clearance, and No treatment cohorts. *P < 0.05.
The presence of the ermB gene in L. iners was significantly associated with endocervical microbiomes in the Ct clearance (P = 0.043) and Ct persistence (P = 0.027) cohorts following azithromycin treatment compared to baseline (Fig. 10). The presence of ermB genes was confirmed by pulling the designated CARD reads and aligning the respective L. iners ermB genes from the two cohorts with a reference ermB gene (Supplementary Fig. S9). There was also a high prevalence of the tetM gene, which confers tetracycline resistance, in L. iners associated with all anatomic sites for the three cohorts (Fig. 10). L. gasseri and L. crispatus were also evaluated but no macrolide-specific ARGs were identified.
The ermX resistance gene was found in G. vaginalis among all cohorts, but primarily in rectal microbiomes at baseline and follow-up (Fig. 10), confirmed by sequence alignments with the reference gene (Supplementary Fig. S10). There was a significant increase in this gene in the endocervix of the Ct persistence cohort (P = 0.009) at follow-up, the vagina in the Ct clearance cohort (P = 0.016) at follow-up, and the endocervix in the control cohort (P = 0.000) at baseline (Fig. 10).
Discussion
We previously evaluated microbial diversity and community composition among paired endocervical and vaginal microbiomes of Pacific Islanders in Fiji and discovered that over 35% were unique and could not be classified using the subCST system developed in 202017. Many microbiomes were diverse with a high relative abundance of facultative and strict anaerobic organisms such as G. vaginalis and Prevotella spp. that comprise subCSTs III and IV. We therefore developed subCSTs IV-D0, D1, D2 and E to capture the diversity and microbial composition of these microbiomes16. Here, we investigated whether the new mgCST and mgSs classification system31 could better define the microbiomes and reveal antibiotic effect modifications. Over 10% of vaginal and >25% of endocervical microbiomes had low similarity scores (i.e., <0.5) to the closest mgCST centroid that frequently was mgCST 27, which comprises a catch-all of bacteria that are not defined. Samples in this category tended to match well with subCSTs IV-D0, IV-E or other IVs. Further, while we found some significant associations of, for example, L. iners mgSs 3 with absence of BV, which was the same for subCST IIIA, mgSs are not defined at the strain level and therefore can’t be used to further explore their association with metadata or other microbiome data. Consequently, we used the expanded subCST classification system that we developed16.
Comparing the effect of treatment on subCSTs, only one woman in the Ct clearance cohort transitioned to a ‘healthy’ subCST I-B in vaginal and endocervical microbiomes. Among women with persistent Ct, only two women shifted from subCST IVs to subCST IIIs, dominated by L. iners. While Pacific Islander microbiomes tend towards more diverse and BV-associated species16,28, azithromycin treatment showed no improvement in subCST or BV, similar to recent 16S rRNA studies of vaginal samples20,22.
The lack of improvement in the microbiomes following treatment indicates that the risk of perpetuating Ct infection and acquiring other STIs remains. We found that women in the Ct persistence and clearance cohorts were significantly more likely to have hrHPV types in the endocervix post-treatment compared to uninfected, untreated women. Many hrHPV types were the same as those at baseline. Previous studies have shown that Ct increases susceptibility to HPV infection and interferes with its clearance, thereby promoting persistence39,40. Potential mechanisms include epithelial cell damage that facilitates invasion and depression of the host immune response40,41. In the latter case, Ct decreases effective antigen presentation by dendritic cells, alters the density and antigen-presenting ability of Langerhans cells, and induces T lymphocyte apoptosis with loss of CD4+ and CD8+ T cells that limits cell-mediated immunity, favoring HPV persistence40,42. These and other studies have also indicated that co-infection with Ct can potentiate progression to cervical cancer43,44.
In addition to hrHPV, Ng increased in all sites at follow-up for the Ct persistence cohort but was significantly higher only in the endocervix compared to controls. Using LDM, we found that, in addition to Ng, other microbiota were significantly associated with Ct persistence in the rectum. These included the aerobic and anaerobic bacteria S. lutetiensis, Prevotella spp., Ruminococcus sp., and F. motiferum. Both S. lutetiensis and Fusobacterium spp. are associated with ulcerative colitis (UC) and colorectal cancer45,46,47,48,49. The latter species have increased virulence when other aerobic and anaerobic pathogenic organisms of the oral and gastrointestinal tract are present47,50,51,52. Collectively, these organisms may disrupt the rectal mucosa and promote an environment that predisposes to persistent inflammation and infection by STIs such as Ct, Ng and HPV where tissue penetration of antibiotics is limited. Additional studies in this area are warranted to better understand pathogenic mechanisms that can inform appropriate treatment modalities.
We also evaluated whether specific bacteria at baseline could predict Ct persistence at any anatomic site at follow-up. While none were found for the endocervix or vagina, the gut-associated bacteria C. hominis, C. catus, R. callidus and R. inulinivorans, along with a decrease in L. acidophilus and L. fermentum, served as significant biomarkers of persistence in the rectum. Campylobacter spp. have been linked to Inflammatory Bowel Disease (IBD), Crohn’s Disease (CD) and other gastrointestinal diseases53,54,55. C. catus is known for playing a role in health via production of vitamin B and acetate, which are inversely correlated with visceral fat, but significantly decreased in UC and IBD compared to controls56,57 as is R. callidus in CD and Roseburia spp. in CD, UC, and CRC58. A decrease in the two Lactobacillus spp. could compromise gut health by disrupting the balance between beneficial and harmful bacteria, decreasing digestion and diminishing the host immune response59. Their decrease could also limit repopulation of the vagina where they could assist in homeostasis and perhaps modulate BV and its recurrence60. These bacteria, or lack thereof, would benefit Ct and other STI pathogens and their persistence. Overall, the data suggest the need for a larger prospective study to further investigate potential species that may be predictive of Ct persistence in each anatomic site.
In our previous pilot study28, we found that high Ct abundance led to genito-rectal transmissions. In the current study, these transmissions were common regardless of Ct infection in all cohorts at both baseline and follow up whereas rectal to genital transmissions occurred only in the control cohort, perhaps reflecting our small sample size. The former transmissions mainly involved L. iners and G. vaginalis. Translocation of species from the vagina to the rectum and vice versa are probably more frequent than previously recognized. This is supported by a recent review of inter-anatomic site cross-talk61 and a study that used 16S rRNA typing and found similar BV-associated bacteria in both the vagina and rectum of pregnant women in Japan62. These transmissions could contribute to the high rates of BV and diverse anaerobic bacteria in our population where the rectum may act as a reservoir that enhances non-Lactobacillus dominated vaginal and endocervical microbiomes. These microbial compositions would maintain or increase the risk of acquiring Ct and other STIs in the endocervix and rectum, favoring transmission and re-infection, which may in part explain the current high rates of Ct and Ng in Fiji4,8,27. However, since our data are based on clustering across sites for a relatively small sample size, larger studies that evaluate temporal dynamics and analyses at the strain level are needed to more precisely evaluate the direction of transmission between these sites and their impact on infection and disease.
The endocervix, but not the rectum or vagina, had significantly more metabolic pathways at baseline compared to follow up for the Ct clearance cohort. Ct was primarily responsible for this increase, which included biosynthesis of isoprenoids (via MEP, isoprene and polyisoprenoid biosynthesis pathways), energy production, and heme b metabolism. Metabolites in the MEP pathway are thought to disrupt histone-DNA interactions that then allow for the transformation of chlamydial infectious elementary bodies (EBs) to metabolically active reticulate bodies (RBs) in preparation for replication63,64. The production of ATP and reducing power, and metabolism of heme are important for transition from RBs to EBs that are released from the cell to spread within tissue and be transmitted65,66. After treatment, there was a significant drop or absence in isoprenoid biosynthesis pathways for Ct, likely indicating a constriction in function, which is not surprising as azithromycin inhibits protein synthesis that occurs at the RB stage67, indicating successful treatment.
In the Ct persistence cohort, only the rectum had a significant increase in metabolic pathways between baseline and follow-up and that was for secondary metabolite production related to isoprenoid biosynthesis. Ct, BV-associated and gut bacteria contributed to this increase. A few studies provide evidence that isoprenoids or derivatives of isoprenoids allow Ct to adapt to the intracellular host environment through enhanced oxidative stress resistance64,68. The fact that there were no additional significant differences in metabolism pathways between the two time points suggest that major shifts in metabolism did not occur in response to treatment, which is consistent with persistent infection in the endocervix and rectum. However, it is not clear why some individuals cleared their infections while others did not. It is possible that, in the persistence cohort, the rectum is the primary site of infection, which is known to be difficult to treat—only ~70% of rectal infections are effectively treated with azithromycin69,70,71. Microbial exchange with the vagina/endocervix may therefore be more frequent in this cohort. At baseline, Ct, Prevotella spp. and Corynebacterium spp. contributed to fatty acid (FA) biosynthesis pathways. Following treatment, there was a significant increase in phospholipid biosynthesis pathways by Ct, L. iners and other gut-related bacteria including Prevotella spp., Porphyromonas spp., Bacteroides spp. Experimental evidence suggests that Ct encodes all the genes to endogenously synthesize FAs and phospholipids necessary to assemble its intracellular membrane and for proliferation72. Phospholipids also play a crucial role in protection against antimicrobials, which may explain the increase in their synthesis pathways at follow up during Ct persistence. Indeed, a recent study found that metabolic reprogramming can occur in Ct persistence—induced in this case by β-lactam treatment—causing a switch from the tricarboxylic acid (TCA) cycle to FA biosynthesis73.
There are some anecdotal reports of presumed tetracycline, macrolide or multi-drug resistance in clinical Ct isolates74,75,76,77,78. We explored the possibility that azithromycin resistance may play a role in Ct persistence in Fiji. While azithromycin resistance is typically attributed to heterotypic resistance (i.e., a subpopulation of bacteria with lower susceptibility to the antibiotic) or bacteriostatic antibiotic treatment79, we found possible homotypic (i.e., genetically inherited) resistance in Ct rplV with three nonsynonymous mutations in the ribosomal L22 protein. These mutations had a high prevalence of ~80% in the vaginal and endocervical sites with ~25% in the rectum in the Ct persistence cohort that did not change post-treatment while, in all sites in the Ct clearance cohort (i.e., 40%, 80% and 10%, respectively), none of these mutations were detected following treatment. The macrolide binding site in L22 is immediately downstream of a variable region where the three mutations were located80. A study in Japan found the same mutations in three of five male urethritis patients who had persistent infection following treatment with extended-release azithromycin81. The minimum inhibitory concentrations (MICs) for azithromycin were all 0.08 μg/ml, which does not explain Ct persistence in these men. However, in a study in Russia, three of four patients had these mutations, and two of the three had MICs of >5.12 μg/ml pre- and post-treatment while one patient remained sensitive33. The former two had repeated episodes of cervicitis and urethritis, respectively. It is also possible that the underlying mutations responsible for these putative azithromycin resistance-linked mutations are specific to certain Ct lineages and not directly related to drug exposure. While these collective findings may be suggestive of resistance, larger studies are needed to more fully understand the distribution of potential azithromycin resistance based on these mutations and the mechanism(s) by which resistance may occur.
We also found significant enrichment of ermX in G. vaginalis in the endocervix of women with Ct persistence post-treatment. The G. vaginalis strains with ermX—JNFY4, JNFY1 and JNFY9—belong to the virulent subtype C clade, which is associated with symptomatic BV and moderate to high biofilm formation37. Our previous microbiome network analysis found an association with endocervical Ct and G. vaginalis interactions supporting Ct persistence16. Additionally, there was a significant enrichment of ermB in L. iners following treatment in the endocervix of both the Ct clearance and persistence cohorts. However, ermX and ermB enrichment may in part be due to the eradication of other taxa with an overall decrease in microbiota.
A high proportion of tetM was also identified in L. iners in all cohorts in all anatomic sites. This gene is frequently transferred via transposons and is common among gram-negative and gram-positive pathogens, causing tetracycline resistance by encoding a protein that prevents binding of tetracycline to ribosomes38. The emergence of resistance to the two main antibiotics used to treat Ct following treatment coupled with the increase in relative abundance of L. iners and G. vaginalis, which are risk factors for Ct infection and reinfection in addition to other STIs19,25,26,82, are a major concern. This highlights the potential collateral effect of antibiotics on microbial ecosystems where there is an increase in abundance of non-target pathogens that increase the risk of re-infection or persistence of the target pathogen, in this case Ct, in addition to other STIs.
Our results reveal perturbing effects of azithromycin treatment: 1) increased risk of hrHPV and Ng co-infections; 2) macrolide resistance among L. iners and G. vaginalis strains following treatment that can also promote their growth and increase the risk of Ct persistence and reinfection and infection by other STIs; and 3) mutations in Ct that may confer azithromycin resistance. These findings indicate the need for further prospective studies to elucidate the depth and breadth of resistance to azithromycin and reveal novel therapeutic strategies to treat Ct and protect and restore the microbiome.
Methods
Study design and patient characteristics
Women aged 18 to 40 years who were seen at Fiji MHMS Health Centers and two university clinics in the Central Division, Viti Levu, Fiji, were consecutively enrolled after informed consent as a convenience sample and followed quarterly for 12 months as part of the parent study4,16. The research was approved by the Institutional Review Boards of the MHMS and the University of California San Francisco.
Study participants and their clinical, microbiologic, and sample data were anonymized using unique ID numbers. Data supplied to this study for participants seen at baseline and follow up visits included age, ethnicity/race, signs and symptoms, presence or absence of BV based on Amsel Criteria43 and results of the Cepheid Xpert® CT/NG diagnostic assay (Cepheid, Sunnyvale, CA). Women who tested positive for Ct at their baseline visit were treated with a single oral dose of 1 g Azithromycin. Paired endocervical, vaginal and rectal samples were available for 21 women who were infected with Ct at baseline and either cleared their infection (n = 10) or remained infected (n = 11) at follow up and 18 women who remained uninfected at both time points (Fig. 1).
Sample processing, metagenomic shotgun sequencing, pre-processing and taxonomic analysis
About 400 µl of each clinical sample was treated with a lysis cocktail containing 100 µl lysozyme, 12 µl mutanolysin, and 6 µl lysostaphin as we described28. DNA was purified using the QIAamp DNA Mini Kit (Qiagen, Germantown, MD) and quantified using the QubitTM HS assay kit (Invitrogen, Carlsbad, CA) according to manufacturer’s instructions.
Genomic DNA (120 ng per sample) was prepared using Illumina Nextera XT kits and subjected to metagenome shotgun sequencing using 150 bp paired end reads on an Illumina Novaseq platform including a Zymo artificial controls with all reagents except for DNA. Sample preprocessing was performed to remove adaptors and human DNA as previously described28. Data from vaginal and endocervical samples were taxonomically profiled using VIRGO83. Rectal samples were profiled using Metaphlan v3.0.1484. The presence of Ng, Mg, Tv and Candida were identified and quantified from the VIRGO endocervical and vaginal data as previously described28. High risk (hr) and low risk (lr) Human Papilloma Virus (HPV) types were identified using HPViewer85 for all three anatomic sites.
SubCST and mgCST classifications for endocervical and vaginal microbiomes, and enterotype determination for rectal microbiomes
Endocervical and vaginal subCSTs were identified using the nearest centroid classifier algorithm in VALENCIA17 in addition to our in-house subCST classification system that includes the Pacific Islander microbiomes as described16. We also classified our metagenomes using the new mgCSTs and mgSs system31. mgSs refer to the combination of strains of a specific species present in an mgCST that may be associated with, for example, BV. mgCSTs include assignment of a similarity score to a mgCST centroid of which there are 29. A score of <0.5 indicates low similarity to the assigned centroid.
In addition to the three cohort databases described above (Fig. 1), an additional larger vaginal cohort dataset—comprised of 34 women who were Ct-positive and either remained positive (n = 5) or became negative (n = 29) after treatment along with 24 women who were Ct-negative at both time points—was also used to determine subCST, mgCST and mgSs classifications.
Rectal microbiomes were classified based on the enterotype method developed for gastrointestinal microbiomes as described28,86.
Microbial functional determinants and resistome analysis
Functional modules of the endocervical, vaginal and rectal microbiomes at the community- and species-levels were identified using HUManN2 v3.087. Additionally, protein and pathway attributes generated through VIRGO for vaginal and endocervical microbiomes were also analyzed. Any unintegrated and unmapped data were excluded from analysis. The resulting reads were then transformed into the relative abundance of the reads per sample and subsequently visualized (see below).
Megahit88,89 was used to generate contigs from the MSS files, which were run through the resistance gene identifier (RGI)—an ARG detection model available in CARD90. Only perfect—an ARG with all amino acids matching the CARD database—and strict hits defined as a hit to an ARG with at least a bit score of 500, were used; loose hits were discarded. AGRs specific to L. iners, L. crispatus, L. gasseri and G. vaginalis were extracted from CARD outputs in addition to 23S rRNA, rplD and rplV genes from Ct. To further confirm the presence of ARGs and any associated mutations, contigs specific to macrolide resistance genes were extracted from the samples and the sequences were aligned using MAFFT plugin in Geneious Prime 2024.0.3 (Supplementary Figs. S8–S10). CARD models of the associated genes and their species were used to extract information related to the literature, strains harboring resistance genes and the respective protein homolog model, which were then integrated into the alignments and data interpretation.
Statistical analysis and visualization
Proportional comparisons of the hrHPV types across the three anatomical sites were analyzed using Fisher’s Exact or Chi-squared Test. These tests were applied at baseline and follow-up timepoints within each of the three cohorts. The likelihood of maintaining the same hrHPV at baseline and follow-up, within each cohort, was tested using McNemar’s Chi-squared Test. The One-Sample Proportion Test was also performed to compare the proportion of samples with hrHPV at baseline and follow-up across all three cohorts. A significance level of P = 0.05 was used for each analysis (Supplementary Table S3).
The mgCST and mgSs designations and associated scores were determined for the paired endocervical and vaginal cohort datasets (Fig. 1) and the larger vaginal cohort dataset using the relative abundance of each sample as described16 (Fig. 4). The mean mgCST score for each mgCST was calculated, and the white boxplots were overlaid on the bar plot to show the distribution of the data as first quartile (Q1), median, and third quartile (Q3) for each mgCST. The whiskers represent the minimum and maximum values, calculated as Q1/Q3 ± 1.5 times the interquartile range (IQR). Any values outside of this range are displayed as outliers. The ggplot package in R91 was used to generate the figure.
To examine the association of BV or Ct with mgCST (Supplementary Table S5) and with subCST (Supplementary Table S6) designations, a chi-square test was used to compare the number of positive and negative women across each classification system. For example, the expected number of Ct positive women was calculated using the formula (total Ct + * no. Ct + )/total no. women, and similarly for Ct negative women. The CHISQ.TEST function in excel was used to calculate the chi-square value using the observed and expected values.
Microbiome analysis was performed using R software packages91: Vegan (v.1.4-5)92, Adespatial (v.0.3-14)93, ggplot2 (v.3.3.5)91, CGPfunctions (v.0.6.3)94, FSA (v.0.9.3)95, ggpubr (v.0.4.0)96, dendextend (v1.14.0)97, dplyr (v.1.1.4), and stats (v.4.4.0) to create relative abundance plots (Fig. 6; Supplementary Figs. 4–6). The transition from one subCST to another within each dataset from baseline to follow-up were visualized using chorddiag using the visualization library D3 in R91 (Supplementary Fig. 3).
A series of analyses were performed on the microbiomes, comparing independent samples between two groups at one time point, such as the Ct clearance vs. Ct persistence cohorts at baseline or follow-up; comparing paired samples between the two time points, baseline vs. follow-up, within a cohort, such as the baseline to follow-up in Ct clearance cohort; and comparing baseline-to-follow-up changes between anatomic sites or two cohorts (e.g., women who resolve their infection vs women who remain infected), which are addressed by analyzing the time-site or time-cohort interaction. For each analysis, the microbiome profiles were analyzed in terms of alpha-diversity, beta-diversity, and relative abundances at individual species. The alpha-diversity was measured by the richness and Shannon Index of the species. Each alpha index was compared between groups of independent samples by the Wilcoxon rank-sum test or between paired samples by the Wilcoxon signed-rank test (Supplementary Fig. 1). The beta-diversity was measured by the Bray–Curtis or Jaccard dissimilarity metric. The resulting distance matrices were used to visualize sample clustering by the principal coordinates analysis (PCoA) plot and tested for shifted clusters along a given covariate (e.g., group label) by the PERMANOVA model29,98 for both independent and paired samples (Supplementary Fig. 2). The relative abundances at individual species were analyzed by the Linear Decomposition Model (LDM)29, which can compare relative abundances between groups of individual samples and paired samples, as well as testing time-site or time-cohort interactions (Fig. 3). The LDM detects significant species while controlling for the false-discovery rate (FDR) at a pre-specified level (20% here). The LDM also provides a global p-value for testing a hypothesis at the community level.
Genito-rectal transmissions and sharing of microbial species between the anatomic sites of each woman within a cohort were analyzed and visualized by Bray–Curtis hierarchical clustering between samples in each cohort and timepoint using Vegan92. Dendograms were generated using dendextend97 (with a distance threshold of 0.9) and heatmaps were created using ggplot91 (Fig. 5).
For functional attributes, the pathway abundance file from the HUManN2 v3.087 output was used. Microbiota across each function and pathway within the microbial community of the respective microbiomes were compared between baseline and follow-up timepoints across each study cohort to first create a Venn representation using ggVennDiagram99—depicts the function-level sharing and uniqueness for each cohort across the three anatomic sites and two time points (Fig. 7). The paired two-sample T test and paired Wilcoxon test with an alpha significance level of 0.05 was used for the function- and pathway-level analyses. The data were visualized in ggplot91 (Figs. 8 and 9; Supplementary Fig. 7). Ct-specific pathway and function-level data for baseline and follow-up time points for the three cohorts are provided in Supplementary Tables S7–S12. The statistically significant differences in functions and pathways between baseline and follow-up in the Ct clearance and Ct persistence cohort for Ct and other bacteria are provided in Supplementary Tables S13, S14.
For the resistome analysis, the presence/absence of genes was compared between baseline and follow-up timepoints for each cohort and the anatomic site using McNemar’s test in R package stats (v.4.4.0). Only significant results at P < 0.05 values were plotted using the R packages91 dplyr, tidyr, ggplot2, ggtext, and ggh4x (Fig. 10B). The Ct genes 23S rRNA, rplD and rplV were aligned against reference strain D/UW-3/CX to discern any gene and nonsynonymous amino acid mutations (Supplementary Fig. S8). We also compared the data across all three cohorts, their timepoints and anatomic sites to identify genes unique to each cohort. Only genes which appeared in at least 15 microbiome samples were considered and plotted as above. To generate the plot, R packages dplyr (v.1.1.4), tidyr (v.1.3.1), ggplot2, ggtext (v.0.1.2), ggh4x (v.0.2.8) were used.
Data availability
The MSS FASTQ files for all the rectal metagenomes were submitted to the NCBI-SRA under the BioProject accession number PRJNA1153641 and the endocervical and vaginal metagenomes were submitted to the NCBI-SRA from our previous study16 under the accession ID PRJNA982400.
Code availability
All scripts generated for this research relating to data visualization and statistical analyses can be found at https://github.com/FijiProspectiveStudy.
References
WHO. Chlamydia Fact Sheet (World Health Organization, 2024). URL: https://www.who.int/news-room/fact-sheets/detail/chlamydia (Accessed 17 March 2025).
Newman, L. et al. Global Estimates of the Prevalence and Incidence of Four Curable Sexually Transmitted Infections in 2012 Based on Systematic Review and Global Reporting. PLoS One 10, e0143304 (2015).
Rowley, J. et al. Chlamydia, gonorrhoea, trichomoniasis and syphilis: global prevalence and incidence estimates, 2016. Bull. World Health Organ. 97, 548–562 (2019). P.
Auchus, I. C. et al. Enhanced Chlamydia trachomatis and Neisseria gonorrhoeae sexually transmitted infections and associated risk factors in Fiji following the COVID-19 pandemic. Open Forum Infect. Dis. 12, ofaf101 (2025).
Guidelines for the Management of Symptomatic Sexually Transmitted Infections (World Health Organization, 2021). https://www.who.int/publications/i/item/9789240024168.
Korenromp, E. L. et al. What proportion of episodes of gonorrhoea and chlamydia becomes symptomatic?. Int. J. STD AIDS 13, 91–101 (2002).
Farley, T. A., Cohen, D. A. & Elkins, W. Asymptomatic sexually transmitted diseases: the case for screening. Prev. Med. 36, 502–509 (2003).
Auchus, I. C., Kama, M., Bhuiyan, R. A.-K., Brown, J. & Dean, D. Chlamydial and gonorrheal neglected sexually transmitted diseases among Pacific Islanders of the Western Pacific Region—A narrative review and call to action. PLoS Negl. Trop. Dis. 17, e0011171 (2023).
Kaida, A. et al. A high burden of asymptomatic genital tract infections undermines the syndromic management approach among adolescents and young adults in South Africa: implications for HIV prevention efforts. BMC Infect. Dis. 18, 499 (2018).
Vallely, L. M. et al. Performance of syndromic management for the detection and treatment of genital Chlamydia trachomatis, Neisseria gonorrhoeae and Trichomonas vaginalis among women attending antenatal, well woman and sexual health clinics in Papua New Guinea: a cross-sectional study. BMJ Open 7, e018630 (2017).
Mårdh, P.-A. Tubal factor infertility, with special regard to chlamydial salpingitis. Curr. Opin. Infect. Dis. 17, 49–52 (2004).
Mania-Pramanik, J., Kerkar, S., Sonawane, S., Mehta, P. & Salvi, V. Current Chlamydia trachomatis Infection, A Major Cause of Infertility. J. Reprod. Infertil. 13, 204–210 (2012).
Dean, D. Chlamydia trachomatis pathogenicity and disease. In: Chlamydial Infection: A Clinical and Public Health Perspective (ed. Black, C. M.) Vol. 7, 25–60 (S Karger AG, 2013). https://doi.org/10.1159/000348751.
Nugent, R. P. & Hillier, S. L. Mucopurulent cervicitis as a predictor of chlamydial infection and adverse pregnancy outcome. Sex. Transm. Dis. 19, 198–202 (1992).
Ravel, J. et al. Vaginal microbiome of reproductive-age women. Proc. Natl. Acad. Sci. USA 108, 4680–4687 (2011).
Bommana, S. et al. Unique microbial diversity, community composition, and networks among Pacific Islander endocervical and vaginal microbiomes with and without Chlamydia trachomatis infection in Fiji. MBio 15, e0306323 (2024).
France, M. T. et al. VALENCIA: a nearest centroid classification method for vaginal microbial communities based on composition. Microbiome 8, 166 (2020).
De Seta, F., Campisciano, G., Zanotta, N., Ricci, G. & Comar, M. The vaginal community state types microbiome-immune network as key factor for bacterial vaginosis and aerobic vaginitis. Front. Microbiol. 10, 2451 (2019).
van Houdt, R., Ma, B. & Bruisten, S. M. Speksnijder AGCL, Ravel J, de Vries HJC. Lactobacillus iners-dominated vaginal microbiota is associated with increased susceptibility to Chlamydia trachomatis infection in Dutch women: a case-control study. Sex. Transm. Infect. 94, 117–123 (2018).
Tamarelle, J. et al. Effects of azithromycin and doxycycline on the vaginal microbiota of women with urogenital Chlamydia trachomatis infection: a substudy of the Chlazidoxy randomized controlled trial. Clin. Microbiol. Infect. 29, 1056–1062 (2023).
Molina, M. A. et al. Assessing the cervicovaginal Microbiota in the context of hrHPV infections: Temporal dynamics and therapeutic strategies. MBio 13, e0161922 (2022).
Tamarelle, J. et al. Nonoptimal vaginal Microbiota after azithromycin treatment for Chlamydia trachomatis infection. J. Infect. Dis. 221, 627–635 (2020).
Ahrens, P. et al. Changes in the vaginal microbiota following antibiotic treatment for Mycoplasma genitalium, Chlamydia trachomatis and bacterial vaginosis. PLoS One 15, e0236036 (2020).
Chen, H. et al. Alterations of vaginal Microbiota in women with infertility and chlamydia trachomatis infection. Front. Cell Infect. Microbiol. 11, 698840 (2021).
Edwards, V. L. et al. The cervicovaginal Microbiota-host interaction modulates Chlamydia trachomatis infection. MBio 10, https://doi.org/10.1128/mBio.01548-19 (2019).
van Teijlingen, N. H. et al. Vaginal dysbiosis associated-bacteria Megasphaera elsdenii and Prevotella timonensis induce immune activation via dendritic cells. J. Reprod. Immunol. 138, 103085 (2020).
Svigals, V. et al. Hyperendemic Chlamydia trachomatis sexually transmitted infections among females represent a high burden of asymptomatic disease and health disparity among Pacific Islanders in Fiji. PLOS Negl. Tropical Dis. 14, e0008022 (2020).
Bommana, S. et al. Metagenomic Shotgun Sequencing of Endocervical, Vaginal, and Rectal Samples among Fijian Women with and without Chlamydia trachomatis Reveals Disparate Microbial Populations and Function across Anatomic Sites: a Pilot Study. Microbiol. Spectr. 10, e0010522 (2022).
Hu, Y.-J. & Satten, G. A. Testing hypotheses about the microbiome using the linear decomposition model (LDM). Bioinformatics 36, 4106–4115 (2020).
Arumugam, M. et al. Addendum: Enterotypes of the human gut microbiome. Nature 506, 516–516 (2014).
Holm, J. B. et al. Correction: Integrating compositional and functional content to describe vaginal microbiomes in health and disease. Microbiome 12, 21 (2024).
Mestrovic, T. & Ljubin-Sternak, S. Molecular mechanisms of Chlamydia trachomatis resistance to antimicrobial drugs. Front. Biosci. 23, 656–670 (2018).
Misyurina, O. Y. et al. Mutations in a 23S rRNA Gene of Chlamydia trachomatis Associated with Resistance to Macrolides. Antimicrob. Agents Chemother. 48, 1347–1349 (2004).
Binet, R. & Maurelli, A. T. Frequency of development and associated physiological cost of azithromycin resistance in Chlamydia psittaci 6BC and C. trachomatis L2. Antimicrob. Agents Chemother. 51, 4267–L75 (2007).
Benamri, I., Azzouzi, M., Sanak, K., Moussa, A. & Radouani, F. An overview of genes and mutations associated with Chlamydiae species’ resistance to antibiotics. Ann. Clin. Microbiol. Antimicrob. 20, 59 (2021).
Drago, L., Mattina, R., Nicola, L., Rodighiero, V. & De Vecchi, E. Macrolide resistance and in vitro selection of resistance to antibiotics in Lactobacillus isolates. J. Microbiol. 49, 651–656 (2011).
Zhang, K. et al. Antibiotic resistance and pathogenicity assessment of various Gardnerella sp. strains in local China. Front. Microbiol. 13, 1009798 (2022).
Kim, S.-R., Nonaka, L. & Suzuki, S. Occurrence of tetracycline resistance genestet(M) andtet(S) in bacteria from marine aquaculture sites. FEMS Microbiol. Lett. 237, 147–156 (2004).
Vriend, H. J. et al. Incidence and persistence of carcinogenic genital human papillomavirus infections in young women with or without Chlamydia trachomatis co-infection. Cancer Med. 4, 1589–1598 (2015).
Lu, Y., Wu, Q., Wang, L. & Ji, L. Chlamydia trachomatis enhances HPV persistence through immune modulation. BMC Infect. Dis. 24, 229 (2024).
Silva, J., Cerqueira, F. & Medeiros, R. Chlamydia trachomatis infection: implications for HPV status and cervical cancer. Arch. Gynecol. Obstet. 289, 715–723 (2014).
Del Balzo, D., Capmany, A., Cebrian, I. & Damiani, M. T. Chlamydia trachomatis infection impairs MHC-I intracellular trafficking and antigen cross-presentation by dendritic cells. Front. Immunol. 12, 662096 (2021).
Zhu, H., Shen, Z., Luo, H., Zhang, W. & Zhu, X. Chlamydia trachomatis infection-associated risk of cervical cancer: A meta-analysis. Medicine 95, e3077 (2016).
Khan, A. A., Abuderman, A., Ashraf, A., Khan, M. T. & Protein-protein, Z. interactions of HPV-Chlamydia trachomatis-human and their potential in cervical cancer. Fut. Microbiol. 15, 509–520 (2020).
Öberg, J., Rasmussen, M., Buchwald, P., Nilson, B. & Inghammar, M. Streptococcus bovis-bacteremia: subspecies distribution and association with colorectal cancer: a retrospective cohort study. Epidemiol. Infect. 150, e8 (2021).
Kodilinye, S. M. et al. S2260 an unusual case of streptococcus bovis subspecies (S. lutetiensis) bacteremia associated with a colon ulcer. Am. J. Gastroenterol. 118, S1615–S1616 (2023).
Tjalsma, H., Boleij, A., Marchesi, J. R. & Dutilh, B. E. A bacterial driver-passenger model for colorectal cancer: beyond the usual suspects. Nat. Rev. Microbiol 10, 575–582 (2012).
Ahn, J. et al. Abstract 2290: Human gut microbiome and risk of colorectal cancer, a case-control study. Cancer Res. 73, 2290–2290 (2013).
Zepeda-Rivera, M. et al. A distinct Fusobacterium nucleatum clade dominates the colorectal cancer niche. Nature 628, 424–432 (2024).
Brook, I., Hunter, V. & Walker, R. I. Synergistic effect of bacteroides, Clostridium, Fusobacterium, anaerobic cocci, and aerobic bacteria on mortality and induction of subcutaneous abscesses in mice. J. Infect. Dis. 149, 924–928 (1984).
Citron, D. M. Update on the taxonomy and clinical aspects of the genus fusobacterium. Clin. Infect. Dis. 35, S22–S27 (2002).
Zhang, L. et al. Bacterial species associated with human inflammatory bowel disease and their pathogenic mechanisms. Front. Microbiol. 13, 801892 (2022).
Kaakoush, N. O., Mitchell, H. M. & Man, S. M. Role of emerging Campylobacter species in inflammatory bowel diseases. Inflamm. Bowel Dis. 20, 2189–2197 (2014).
Man, S. M. et al. Host attachment, invasion, and stimulation of proinflammatory cytokines by Campylobacter concisus and other non-Campylobacter jejuni Campylobacter species. J. Infect. Dis. 202, 1855–1865 (2010).
Liu, F. et al. Analysis of complete Campylobacter concisus genomes identifies genomospecies features, secretion systems and novel plasmids and their association with severe ulcerative colitis. Microb. Genom 6, https://doi.org/10.1099/mgen.0.000457 (2020).
Nogal, A. et al. Circulating levels of the short-chain fatty acid acetate mediate the effect of the gut microbiome on visceral fat. Front. Microbiol. 12, 711359 (2021).
Bajer, L. et al. Distinct gut microbiota profiles in patients with primary sclerosing cholangitis and ulcerative colitis. World J. Gastroenterol. 23, 4548 (2017).
Nagao-Kitamoto, H. & Kamada, N. Host-microbial cross-talk in inflammatory bowel disease. Immune Netw. 17, 1–12 (2017).
Gao, H. et al. The functional roles of Lactobacillus acidophilus in different physiological and pathological processes. J. Microbiol. Biotechnol. 32, 1–8 (2022).
Falagas, M. E., Betsi, G. I. & Athanasiou, S. Probiotics for the treatment of women with bacterial vaginosis. Clin. Microbiol. Infect. 13, 657–664 (2007).
Amabebe, E. & Anumba, D. O. C. Female gut and genital tract Microbiota-induced crosstalk and differential effects of short-chain fatty acids on immune sequelae. Front. Immunol. 11, 2184 (2020).
Fudaba, M., Kamiya, T., Tachibana, D., Koyama, M. & Ohtani, N. Bioinformatics analysis of oral, vaginal, and rectal microbial profiles during pregnancy: A pilot study on the bacterial co-residence in pregnant women. Microorganisms 9, 1027 (2021).
Grieshaber, N. A., Fischer, E. R., Mead, D. J., Dooley, C. A. & Hackstadt, T. Chlamydial histone-DNA interactions are disrupted by a metabolite in the methylerythritol phosphate pathway of isoprenoid biosynthesis. Proc. Natl. Acad. Sci. USA 101, 7451–7456 (2004).
Perez-Gil, J., Behrendorff, J., Douw, A. & Vickers, C. E. The methylerythritol phosphate pathway as an oxidative stress sense and response system. Nat. Commun. 15, 5303 (2024).
Iliffe-Lee, E. R. & McClarty, G. Glucose metabolism in Chlamydia trachomatis: the ‘energy parasite’ hypothesis revisited. Mol. Microbiol. 33, 177–187 (1999).
Engström, P. et al. Mutations in hemG mediate resistance to salicylidene acylhydrazides, demonstrating a novel link between protoporphyrinogen oxidase (HemG) and Chlamydia trachomatis infectivity. J. Bacteriol. 195, 4221–4230 (2013).
Bommana, S. & Polkinghorne, A. Mini review: Antimicrobial control of chlamydial infections in animals: Current practices and issues. Front. Microbiol. 10, 113 (2019).
Heuston, S., Begley, M., Gahan, C. G. M. & Hill, C. Isoprenoid biosynthesis in bacterial pathogens. Microbiology 158, 1389–1401 (2012).
Khosropour, C. M., Dombrowski, J. C., Barbee, L. A., Manhart, L. E. & Golden, M. R. Comparing azithromycin and doxycycline for the treatment of rectal chlamydial infection: a retrospective cohort study. Sex. Transm. Dis. 41, 79–85 (2014).
Lau, A., Hocking, J. S. & Kong, F. Y. S. Rectal chlamydia infections: implications for reinfection risk, screening, and treatment guidelines. Curr. Opin. Infect. Dis. 35, 42–48 (2022).
Peuchant, O. et al. Doxycycline versus azithromycin for the treatment of anorectal Chlamydia trachomatis infection in women concurrent with vaginal infection (CHLAZIDOXY study): a multicentre, open-label, randomised, controlled, superiority trial. Lancet Infect. Dis. 22, 1221–1230 (2022).
Yao, J. & Rock, C. O. Therapeutic targets in chlamydial fatty acid and phospholipid synthesis. Front. Microbiol. 9, 2291 (2018).
Shima, K. et al. Regulation of the mitochondrion-fatty acid axis for the metabolic reprogramming of Chlamydia trachomatis during treatment with β-lactam antimicrobials. MBio 12, https://doi.org/10.1128/mBio.00023-21 (2021).
Jones, R. B., Van der Pol, B., Martin, D. H. & Shepard, M. K. Partial characterization of Chlamydia trachomatis isolates resistant to multiple antibiotics. J. Infect. Dis. 162, 1309–1315 (1990).
Lefevre, J. C., Lepargneur, J. P., Guion, D. & Bei, S. Tetracycline-resistant Chlamydia trachomatis in Toulouse, France. Pathol. Biol. 45, 376–378 (1997).
Somani, J., Bhullar, V. B., Workowski, K. A., Farshy, C. E. & Black, C. M. Multiple drug-resistant Chlamydia trachomatis associated with clinical treatment failure. J. Infect. Dis. 181, 1421–1427 (2000).
Misiurina, O. I. et al. Analysis of point mutations in the ygeD, gyrA and parC genes in fluoroquinolones resistant clinical isolates of Chlamydia trachomatis. Mol. Gen. Mikrobiol. Virusol. 3, 3–7 (2004).
Bhengraj, A. R., Vardhan, H., Srivastava, P., Salhan, S. & Mittal, A. Decreased susceptibility to azithromycin and doxycycline in clinical isolates of Chlamydia trachomatis obtained from recurrently infected female patients in India. Chemotherapy 56, 371–377 (2010).
Horner, P. J. Azithromycin antimicrobial resistance and genital Chlamydia trachomatis infection: duration of therapy may be the key to improving efficacy. Sex. Transm. Infect. 88, 154–156 (2012).
Unge, J. et al. The crystal structure of ribosomal protein L22 from Thermus thermophilus: insights into the mechanism of erythromycin resistance. Structure 6, 1577–1586 (1998).
Deguchi, T. et al. Macrolide and fluoroquinolone resistance is uncommon in clinical strains of Chlamydia trachomatis. J. Infect. Chemother. 24, 610–614 (2018).
Van Der Veer, C. & Bruisten, S. M. The Cervicovaginal Microbiota in Women Notified for Chlamydia trachomatis Infection: A Case-Control Study at the Sexually Transmitted Infection Outpatient Clinic in Amsterdam, The Netherlands. Clin. Infect. Dis. 64, 24–31 (2017).
Ma, B. et al. A comprehensive non-redundant gene catalog reveals extensive within-community intraspecies diversity in the human vagina. Nat. Commun. 11, 940 (2020).
CQLS Software Support. metaphlan 3.0.14 2022. URL: https://software.cqls.oregonstate.edu/updates/metaphlan-3.0.14/ (2022) (Accessed 17 March 2025).
Hao, Y. et al. HPViewer: sensitive and specific genotyping of human papillomavirus in metagenomic DNA. Bioinformatics 34, 1986–1995 (2018).
Costea, P. I. et al. Enterotypes in the landscape of gut microbial community composition. Nat. Microbiol. 3, 8–16 (2017).
Beghini, F. et al. Integrating taxonomic, functional, and strain-level profiling of diverse microbial communities with bioBakery 3. Elife 10, https://doi.org/10.7554/eLife.65088 (2021).
Li, D., Liu, C.-M., Luo, R., Sadakane, K. & Lam, T.-W. MEGAHIT: an ultra-fast single-node solution for large and complex metagenomics assembly via succinct de Bruijn graph. Bioinformatics 31, 1674–1676 (2015).
Li, D. et al. MEGAHIT v1.0: A fast and scalable metagenome assembler driven by advanced methodologies and community practices. Methods 102, 3–11 (2016).
Alcock, B. P. et al. CARD 2023: expanded curation, support for machine learning, and resistome prediction at the Comprehensive Antibiotic Resistance Database. Nucleic Acids Res. 51, D690–D699 (2023).
Wickham, H. & Grolemund, G. R for Data Science: Import, Tidy, Transform, Visualize, and Model Data (‘O’Reilly Media, Inc.’ 2016). https://r4ds.had.co.nz.
vegan: Community Ecology Package. URL: https://CRAN.R-project.org/package=vegan (2025). (Accessed 17 March 2025).
adespatial: Multivariate Multiscale Spatial Analysis. URL: https://cran.r-project.org/web/packages/adespatial/index.html (2025) (Accessed 17 March 2025).
PlotXTabs: Plot a Cross Tabulation of two variables using dplyr and… in CGPfunctions: Powell Miscellaneous Functions for Teaching and Learning Statistics. 2020. URL: https://rdrr.io/cran/CGPfunctions/man/PlotXTabs.html (2020) (Accessed 17 March 2025).
FSA: Simple Fisheries Stock Assessment Methods. URL: https://CRAN.R-project.org/package=FSA (2025) (Accessed 17 March 2025).
Kassambara, A. ggpubr: ‘ggplot2’ Based Publication Ready Plots. R package version 0.6.2.999, https://github.com/kassambara/ggpubr (2025).
Galili, T. dendextend: an R package for visualizing, adjusting and comparing trees of hierarchical clustering. Bioinformatics 31, 3718–3720 (2015).
Zhu, Z., Satten, G. A., Mitchell, C. & Hu, Y.-J. Constraining PERMANOVA and LDM to within-set comparisons by projection improves the efficiency of analyses of matched sets of microbiome data. Microbiome 9, 133 (2021).
Gao, C.-H., Yu, G. & Cai, P. GgVennDiagram: An intuitive, easy-to-use, and highly customizable R package to generate Venn diagram. Front. Genet. 12, 706907 (2021).
Acknowledgements
We thank the parent study for providing the deidentified data for this study and Fijian colleagues: Dr. Rachel Devi; Dr. Kinisimere Nadredre; Dr. Mere Kurulo; Dr. Jenni Singh, and Dr. Darshika Balak. This research was supported by Public Health Service grant from the National Institutes of Health R01 AI151075 (to DD and TDR).
Author information
Authors and Affiliations
Contributions
S.B.: Data curation, Formal analysis, Methodology, Visualization, Writing – original draft, Writing – review and editing | O.O.: Formal analysis, Methodology, Software, Visualization, Writing – review and editing | Y.H.: Formal analysis, Methodology, Software, Writing – review and editing | R.W.: Formal analysis, Visualization, Writing – review and editing | M.K.: Investigation, Supervision, Writing – review and editing | M.D.: Formal analysis, Visualization, Writing – review and editing | R.K.: Formal analysis, Visualization, Writing – review and editing | T.D.R.: Conceptualization, Data curation, Funding acquisition, Investigation, Methodology, Resources, Supervision, Writing – review and editing | D.D.: Conceptualization, Formal analysis, Funding acquisition, Investigation, Methodology, Project administration, Resources, Supervision, Validation, Writing – original draft, Writing – review and editing. S.B. and O.O. are “co-first authors”.
Corresponding author
Ethics declarations
Competing interests
The authors declare no competing interests.
Additional information
Publisher’s note Springer Nature remains neutral with regard to jurisdictional claims in published maps and institutional affiliations.
Supplementary information
Rights and permissions
Open Access This article is licensed under a Creative Commons Attribution 4.0 International License, which permits use, sharing, adaptation, distribution and reproduction in any medium or format, as long as you give appropriate credit to the original author(s) and the source, provide a link to the Creative Commons licence, and indicate if changes were made. The images or other third party material in this article are included in the article’s Creative Commons licence, unless indicated otherwise in a credit line to the material. If material is not included in the article’s Creative Commons licence and your intended use is not permitted by statutory regulation or exceeds the permitted use, you will need to obtain permission directly from the copyright holder. To view a copy of this licence, visit http://creativecommons.org/licenses/by/4.0/.
About this article
Cite this article
Bommana, S., Olagoke, O., Hu, YJ. et al. Azithromycin alters the microbiome composition, function and resistome in women with Chlamydia trachomatis infections. npj Biofilms Microbiomes 11, 235 (2025). https://doi.org/10.1038/s41522-025-00858-9
Received:
Accepted:
Published:
Version of record:
DOI: https://doi.org/10.1038/s41522-025-00858-9












