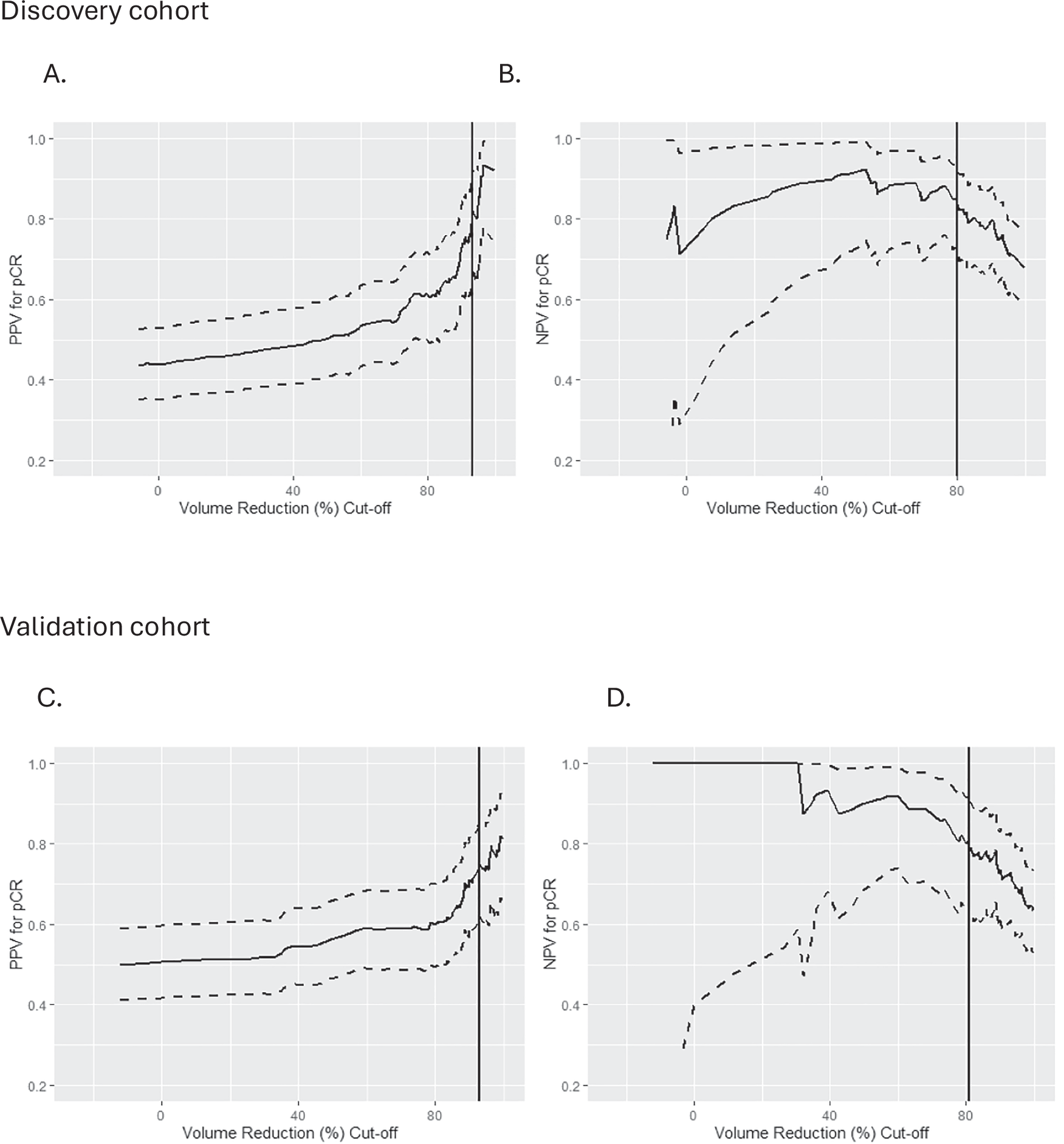
Fig. 5: PPV and NPV for probability of pCR by the percent tumor volume reduction after four cycles of NAST in the discovery cohort (A, B) and the validation cohort (C, D).

PPV was 80% in the discovery cohort (A) and 75% in the validation cohort (C) at tumor volume reduction >90%. NPV was 84% in the discovery cohort (B) and 81% in the validation cohort (D) at tumor volume reduction <80% (vertical line). The dotted lines represent 95% confidence intervals. AUC 0.82 (0.75–0.90, p < 0.0001) in the discovery cohort; AUC 0.79 (0.71–0.86, p < 0.001) in the validation cohort.