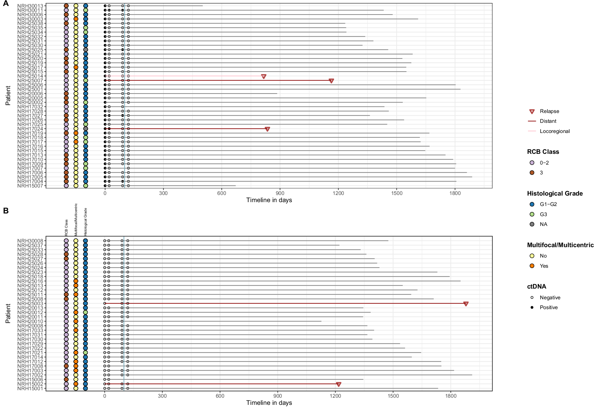
Fig. 2: Longitudinal monitoring of serial plasma samples.
From: Personalized ctDNA detection and genomic profiling in the NeoRHEA Study

A Patients with positive ctDNA (42) at baseline, follow-up period expressed in days. Circles represent ctDNA testing, with empty circles denoting ctDNA-negative and black circles, ctDNA-positive samples. Relapse patients (n = 3) are marked with a red/pink line (distant/locoregional) and the time of relapse with a red triangle. Surgery timepoint is marked with a vertical green line. Baseline clinicopathological features-histological grade and multifocal/multicentric status-as well as the RCB class assessed at surgery, are displayed for each patient on the left side of the y axis. B Patients with negative ctDNA (n = 34) at baseline, follow−up period expressed in days.