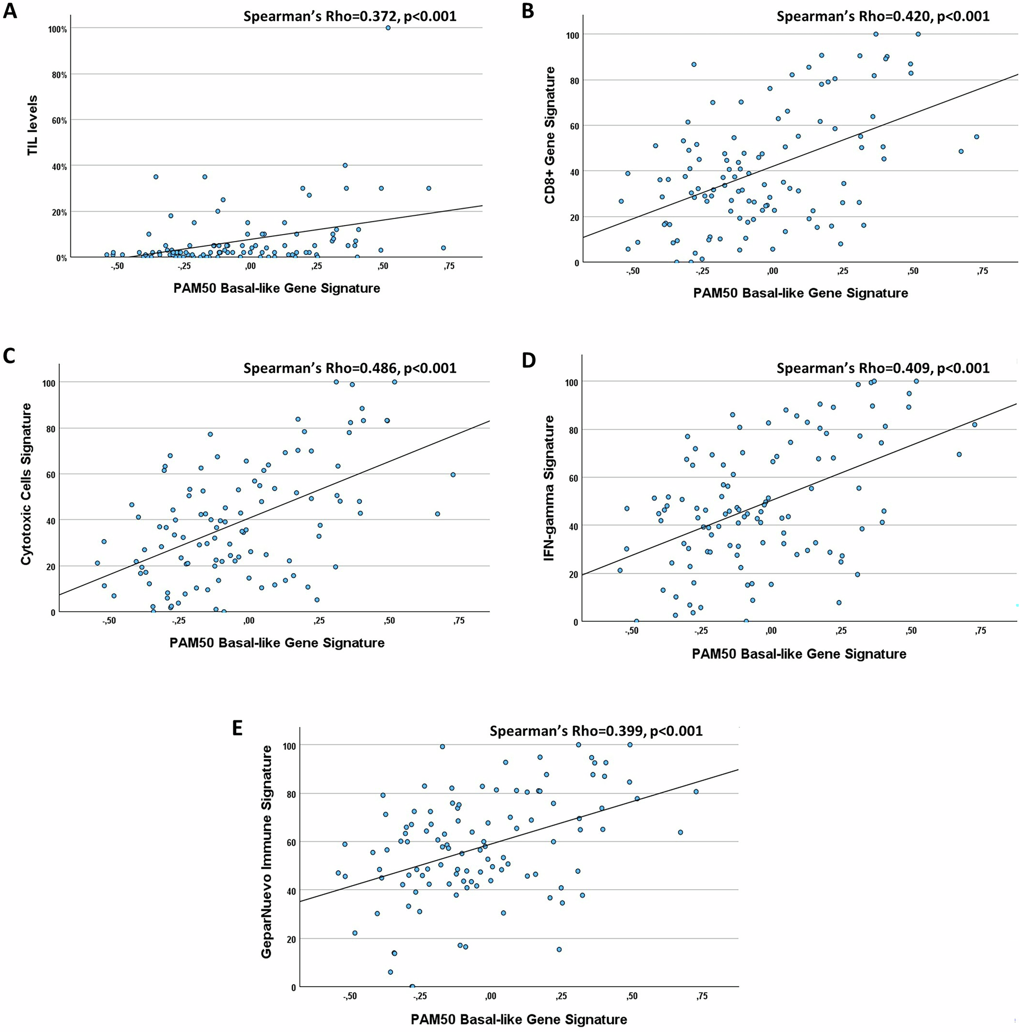
Fig. 2

Association between continuous PAM50 basal-like signature and TIL levels (A), CD8+ gene signature (B), cytotoxic cell signature (C), INF-gamma signature (D) and GeparNuevo immune signature (E).

Association between continuous PAM50 basal-like signature and TIL levels (A), CD8+ gene signature (B), cytotoxic cell signature (C), INF-gamma signature (D) and GeparNuevo immune signature (E).