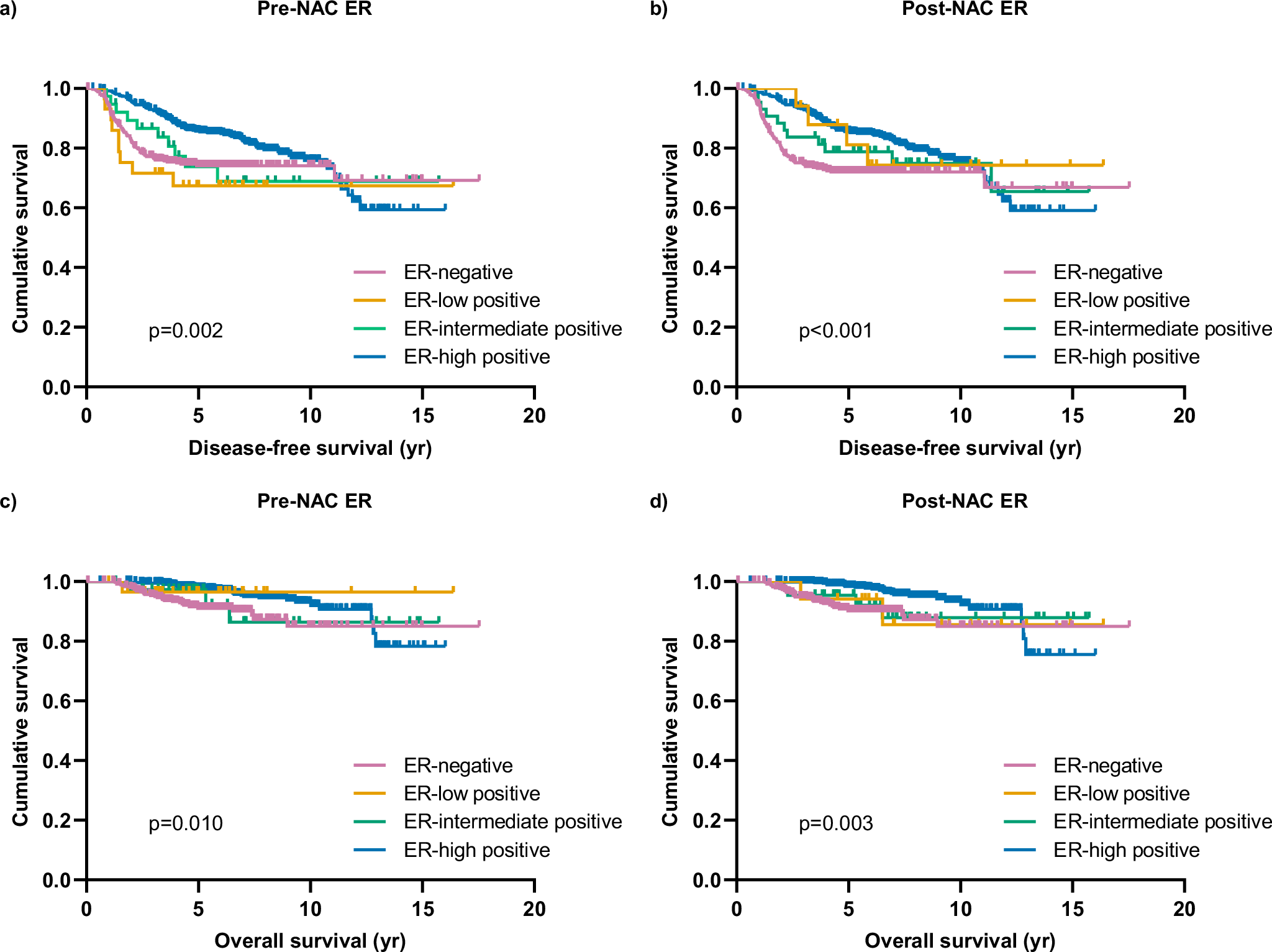
Fig. 3: Survival analysis based on ER expression levels before and after NAC.

Disease-free survival of patients according to a pre-NAC ER expression levels and b post-NAC ER expression levels, and overall survival of the patients according to c pre-NAC ER expression levels and d post-NAC ER expression levels in cases with residual disease. The pink line indicates ER-negative, the orange line ER-low positive, the green line ER-intermediate positive, and the blue line ER-high positive. P-values represent comparisons across all ER expression levels. NAC neoadjuvant chemotherapy, ER estrogen receptor.