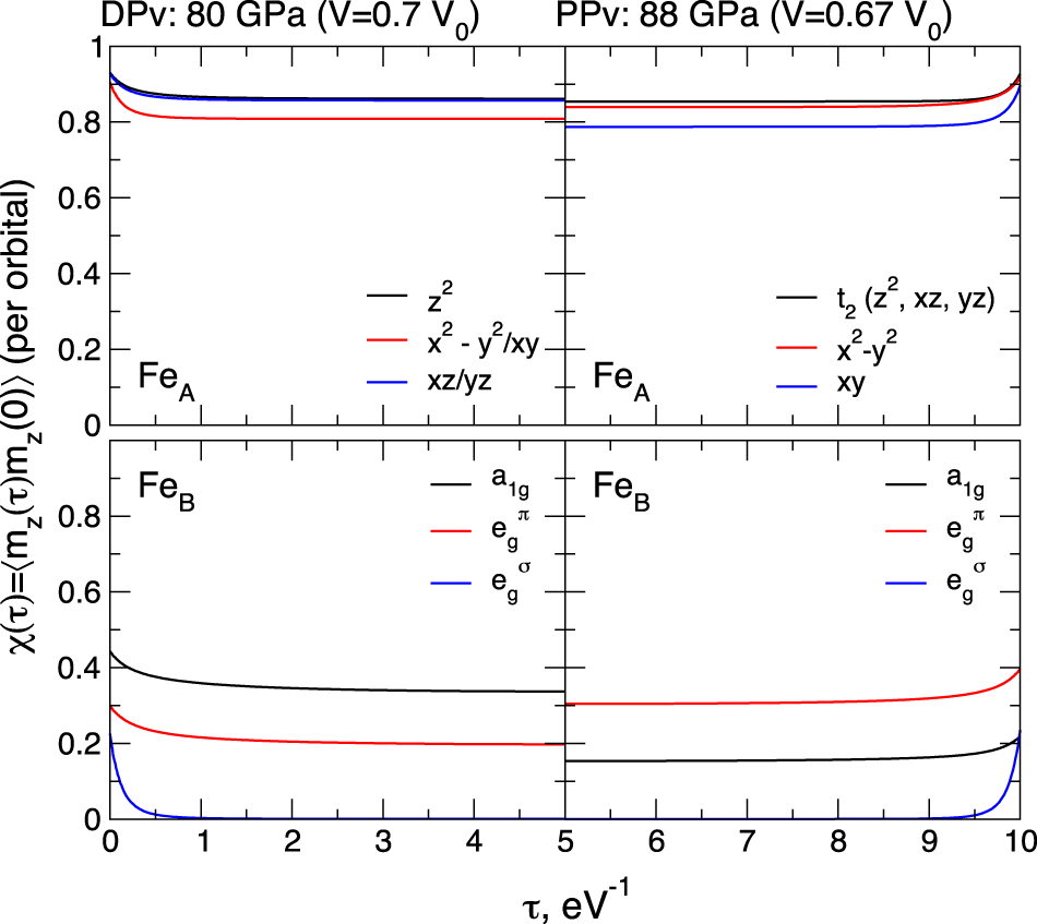
Fig. 4

Local spin susceptibility \(\chi = \langle \hat m_z(\tau )\hat m_z(0)\rangle\) calculated by DFT + DMFT for the paramagnetic DPv (left panel) and PPv (right panel) phases of Fe2O3, for ~80 GPa (for the DPv phase) and 88 GPa (PPv), respectively. The Fe A electrons (associated with the prismatic Fe A sites) are localized to form fluctuating moments, while the octahedral Fe B sites are delocalized (itinerant-like). τ denotes the imaginary time, τ ∈[0, β], where β is the inverse temperature, β = 1/kBT