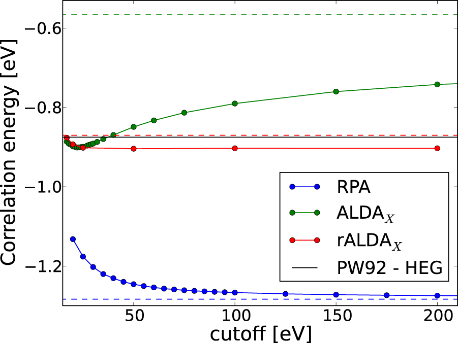
Fig. 4

Correlation energy of the valence electron in Na evaluated with RPA, ALDA, and rALDA. The dashed lines show the values obtained with the functionals for the homogeneous electron gas using the average valence density of Na. Reproduced with permission from ref., 27 copyright American Physical Society, 2012