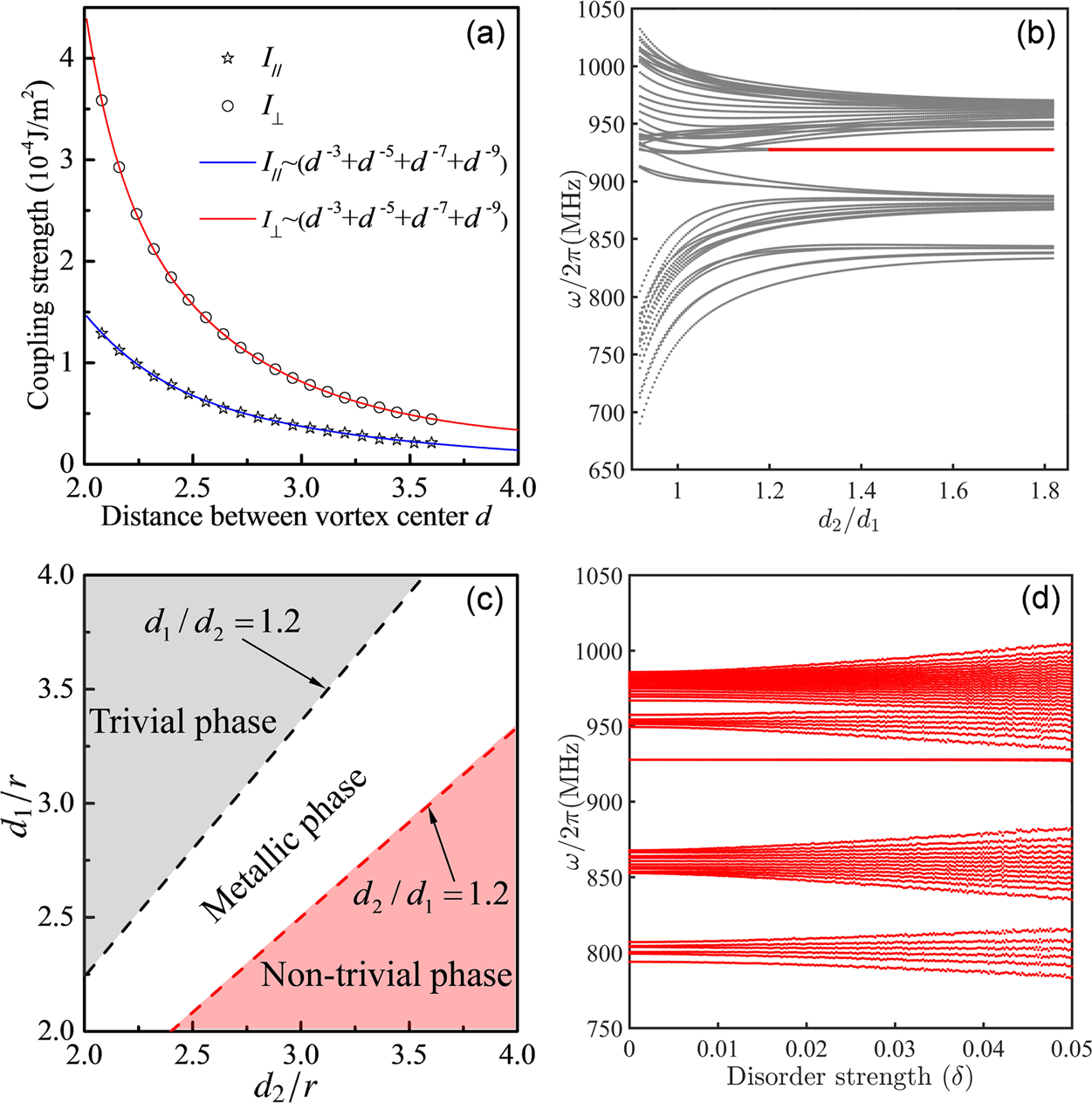
Fig. 2

Corner states and phase diagram for triangle-shape lattice. a Dependence of the coupling strength \({I}_{\parallel }\) and \({I}_{\perp }\) on the vortex–vortex distance \(d\) (normalized by the disk radius \(r\)). Pentagrams and circles denote simulation results and solid curves represent the analytical fitting. b Eigenfrequencies of collective vortex gyration under different ratio \({d}_{2}/{d}_{1}\) with the red segment labeling the corner state phase. c The phase diagram. d Eigenfrequencies of the breathing kagome lattice of vortices under different disorder strengths