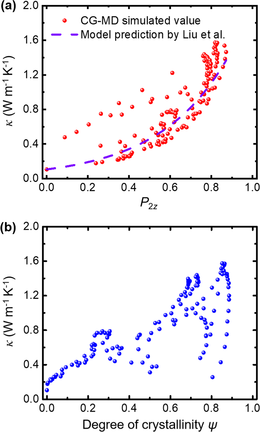
Fig. 8

Variations of calculated TC as a function of a the orientational order parameter P2z and b the degree of crystallinity ψ. The model-predicted TC profile by Liu and Yang22 is shown as a dashed line in a for comparison.

Variations of calculated TC as a function of a the orientational order parameter P2z and b the degree of crystallinity ψ. The model-predicted TC profile by Liu and Yang22 is shown as a dashed line in a for comparison.