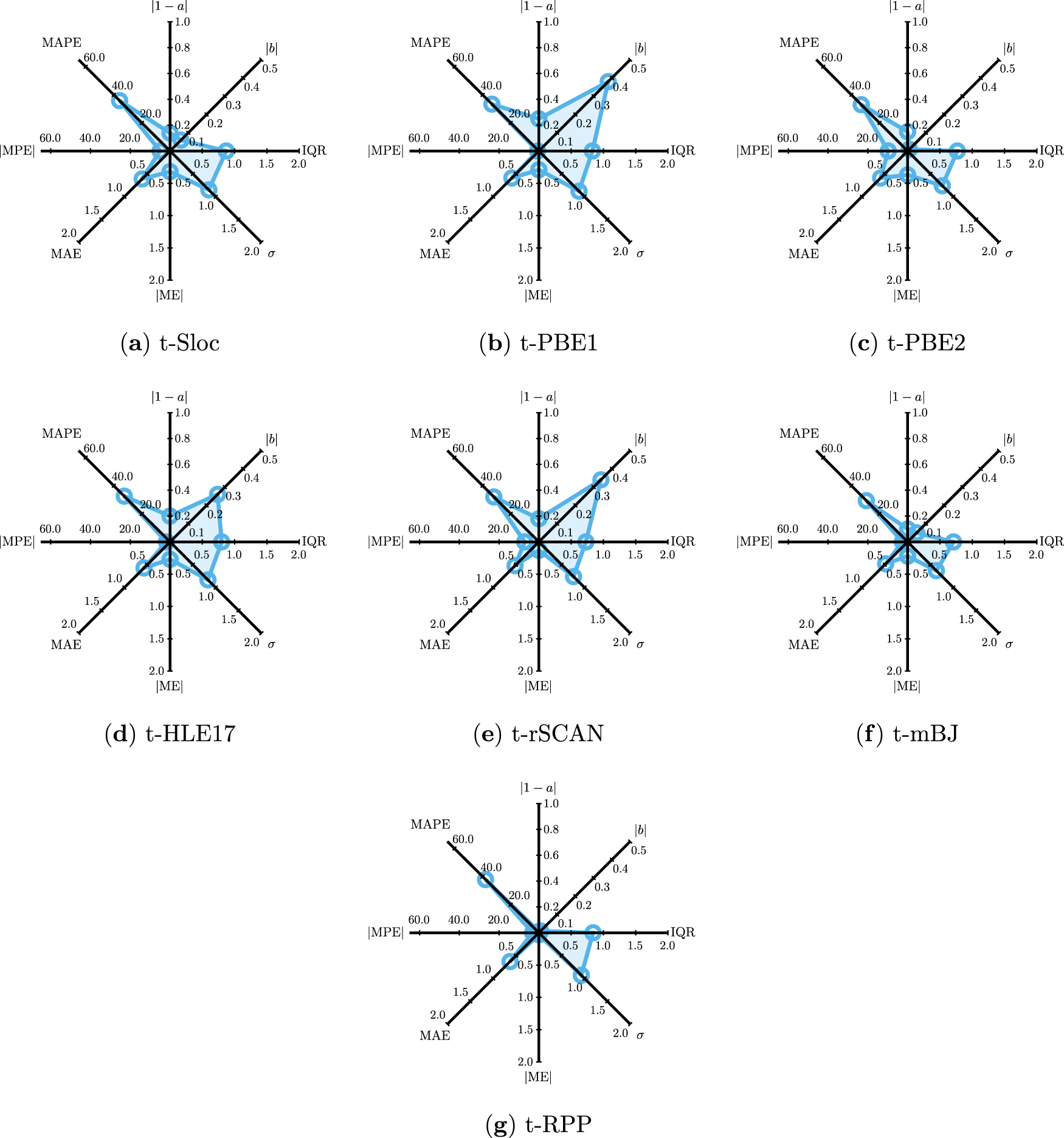
Fig. 5: Radar plots displaying the statistical quantities calculated in this benchmark (MAE, ME, ∣b∣, σ, and IQR in eV; MPE and MAPE in %).

Results for the reoptimized functionals: (a) t-Sloc, (b) t-PBE1, (c) t-PBE2, (d) t-HLE17, (e) t-rSCAN, (f) t-mBJ, (g) t-RPP.