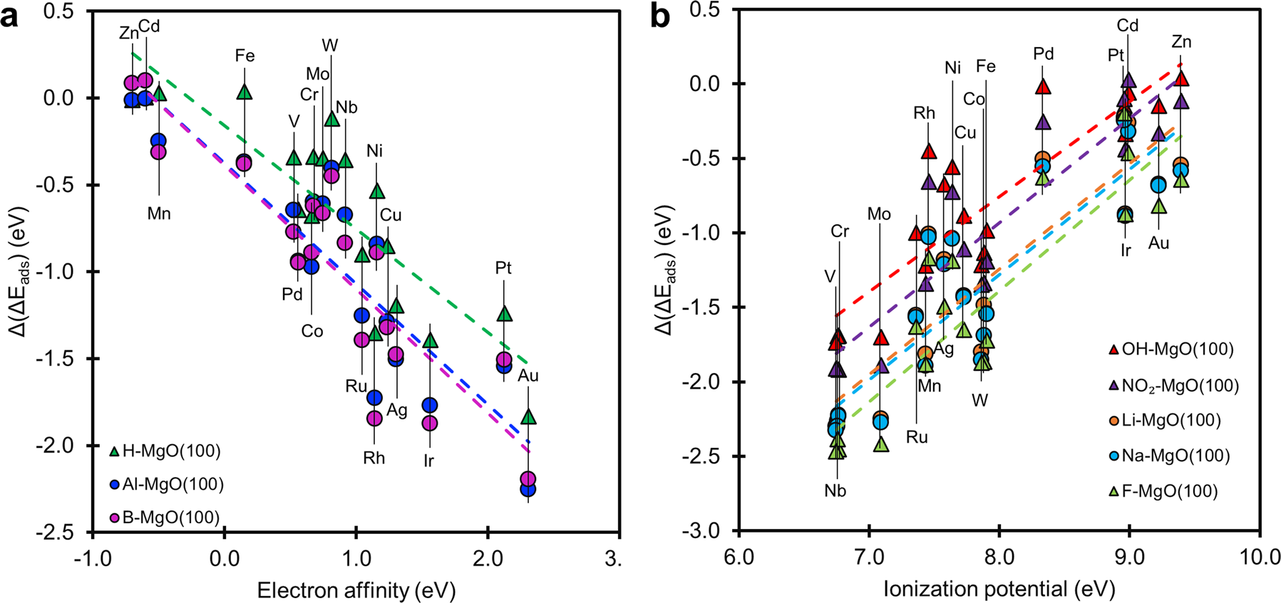
Fig. 4: Metal binding correlation to electron affinity and ionization potential.

The a electron affinity (EA) and b ionization potential (IE1) are used as descriptors for predicting the difference in metal adsorption energy between clean MgO versus electron-rich MgO and electron-poor MgO, respectively.