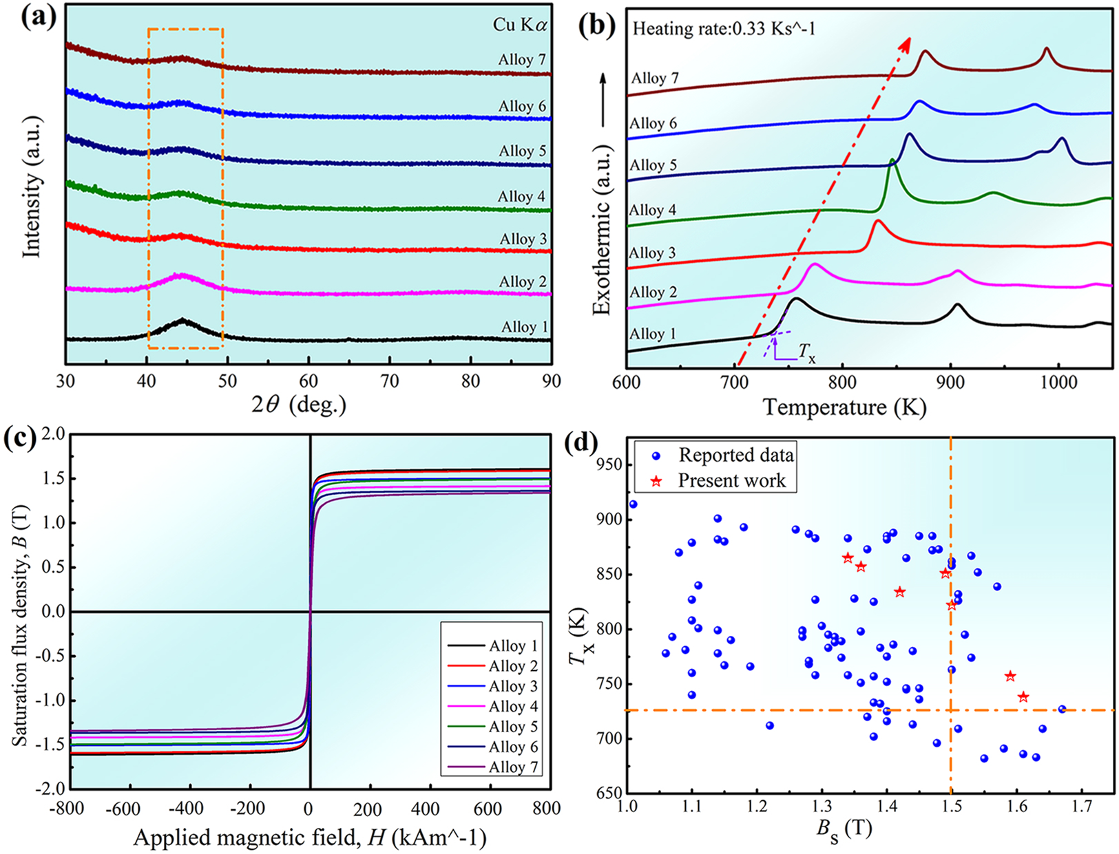
Fig. 7: Experimental validation of the ML prediction.

a XRD patterns, (b) DSC curves at a heating rate of 0.33 K s−1, (c) the hysteresis loops, and (d) the Bs and Tx values of the designed soft-magnetic Fe-based MGs based on the ML model. Experimental data reported in the literature are also listed in (d) for comparison.