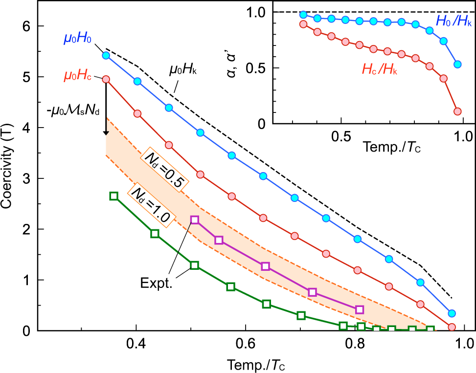
Fig. 2: Temperature dependence of coercivity.
From: Role of atomic-scale thermal fluctuations in the coercivity

The blue line μ0H0 and the red line μ0Hc were calculated from Fig. 1b for 21.1 nm × 21.1 nm × 21.9 nm (713,172 spins) isolated grain at each temperature. The colored area depicts the coercivity μ0Hc under the demagnetization fields in the range of demagnetization factor Nd = 0.5–1.0. The green and purple squared lines denote the experimental measurements in sintered29 and the hot-deformed with grain boundary diffusion of Nd-Cu alloy14 magnets, respectively. Inset shows α = H0/Hk and \({\alpha }^{\prime}={H}_{\mathrm{c}}/{H}_{\mathrm{k}}\).