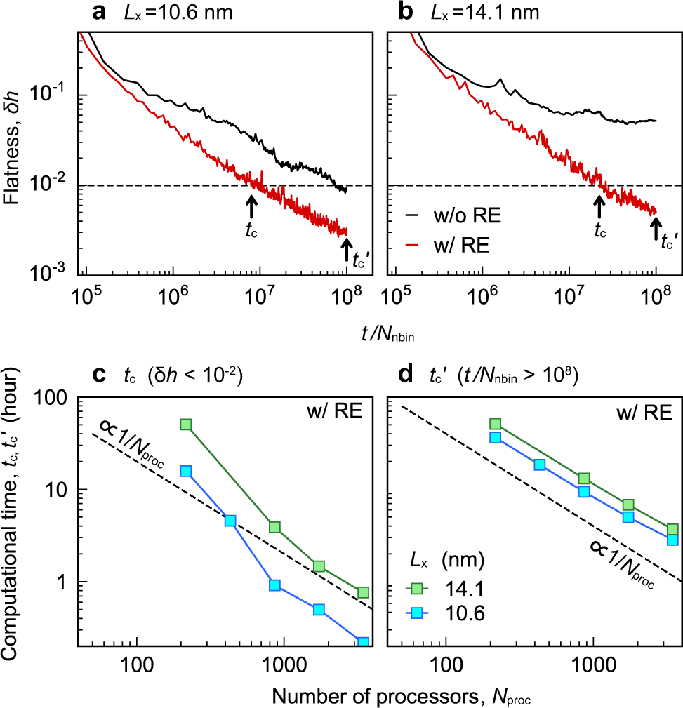
Fig. 7: Parallelization efficiency of replica exchange.
From: Role of atomic-scale thermal fluctuations in the coercivity

The flatness δH as a function of \(t/{N}_{{\rm{bin}}}(=1/\tilde{\eta }\,(1/{\rm{eV}}))\) at \(0.46\ {T}_{{\rm{C}}}^{{\rm{cal}}}\) of the Nd2Fe14B spin model with the isolated grain for two sizes a Lx = 10.6 nm and b Lx = 14.1 nm. Black (Blue) lines are the results without (with) RE, which are performed by 864 processors. In the simulations, the calculated ranges of the magnetization are \({M}_{\mathrm{z}}\in [-0.02{M}_{\mathrm{z}},\ 0.76{M}_{\mathrm{z}}^{\mathrm{t}}]\) for Lx = 10.6 nm and \({M}_{\mathrm{z}}\in [0.3{M}_{\mathrm{z}}^{\mathrm{t}},\ 0.76{M}_{\mathrm{z}}^{\mathrm{t}}]\) for Lx = 14.1 nm with mw = 0.5μB, where \({M}_{\mathrm{z}}^{\mathrm{t}}\) is the maximum value of Mz in each spin system. c tc and d \({t}_{\mathrm{c}}^{\prime}\) are the computational times as a function of the number of processors Nproc, which satisfy the convergence conditions δh < 10−2 and t/Nnbin > 108, respectively. Arrows in a and b denote the points corresponding to tc and \({t}_{\mathrm{c}}^{\prime}\).