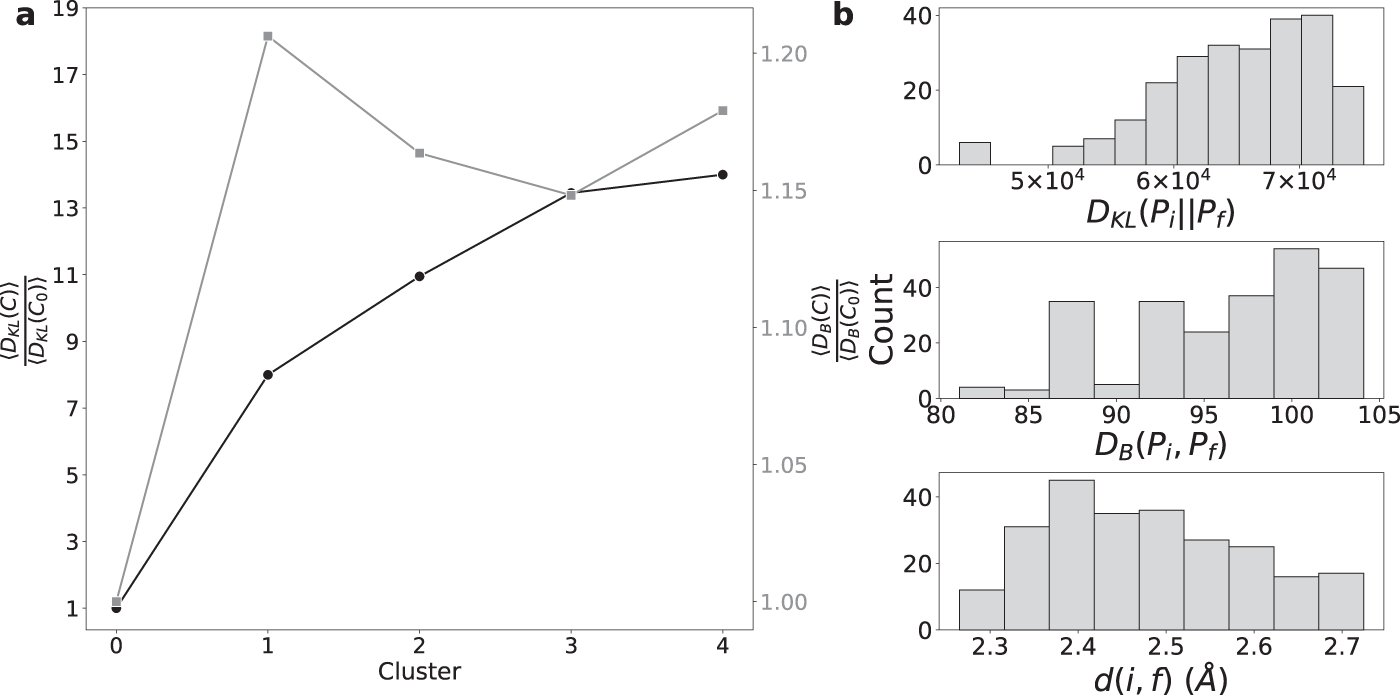
Fig. 5: Similarity measures for clusters of structures.
From: Evolutionary computing and machine learning for discovering of low-energy defect configurations

a Cluster relative average KL divergence and relative average Bhattacharyya distance. b Distribution of the KL divergence, Bhattacharyya distance, and Euclidean distance for the individuals in cluster C3.