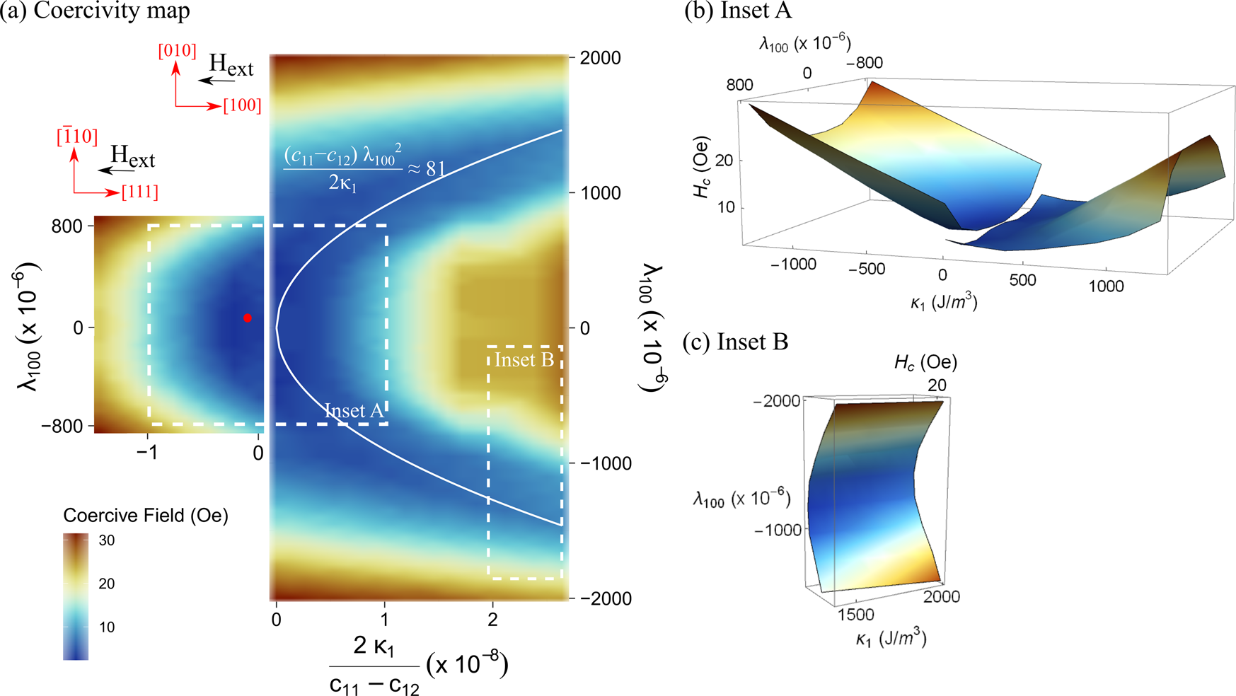
Fig. 2: The coercivity map as a function of the magnetocrystalline anisotropy κ1 and the magnetostriction constant λ100.

a We carried out a total of N = 2163 computations with the magnetostriction constant λ111 set to zero. We find that minimum coercivity is achieved when \(\frac{({c}_{11}-{c}_{12}){\lambda }_{100}^{2}}{2{\kappa }_{1}}\approx 81\). For comparison, the solid red dot corresponds to the coercivity of the permalloy composition. Note, the parabolic relationship is a best-fit polynomial to the spread of coercivity data from our calculations. Alloys, such as the permalloy, lie close to the vertex of this parabola and we interpret this as the shortest distance to the parabola with a dimensionless constant of 81. The axes (in red) indicate the crystallographic directions along which coercivity values were measured for alloys with κ1 > 0 and κ1 < 0, respectively. The 3D surface contours of the coercivity values in (b) “inset A” and (c) “inset B” are shown. These plots show coercivity wells (regions of minimum coercivity) as κ1 → 0 and κ1 >> 0, respectively. Note, in subfigure (b), the 3D surface contour is discontinuous along κ1 = 0—we attribute this discontinuity to the transformation of easy axes from [100] to [111] crystallographic direction.