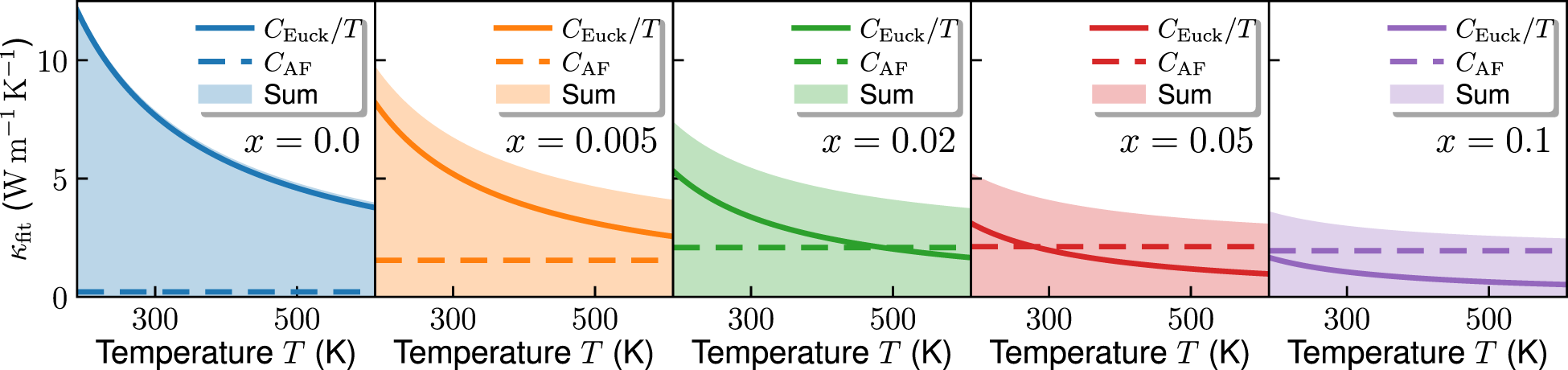
Fig. 9: Eucken and Allen–Feldman contributions to the fit of Eq. (3) on the GK thermal conductivity data.

Solid lines represent the Eucken contribution, while dashed lines represent the Allen-Feldman contribution. The sum is represented by the shaded area.