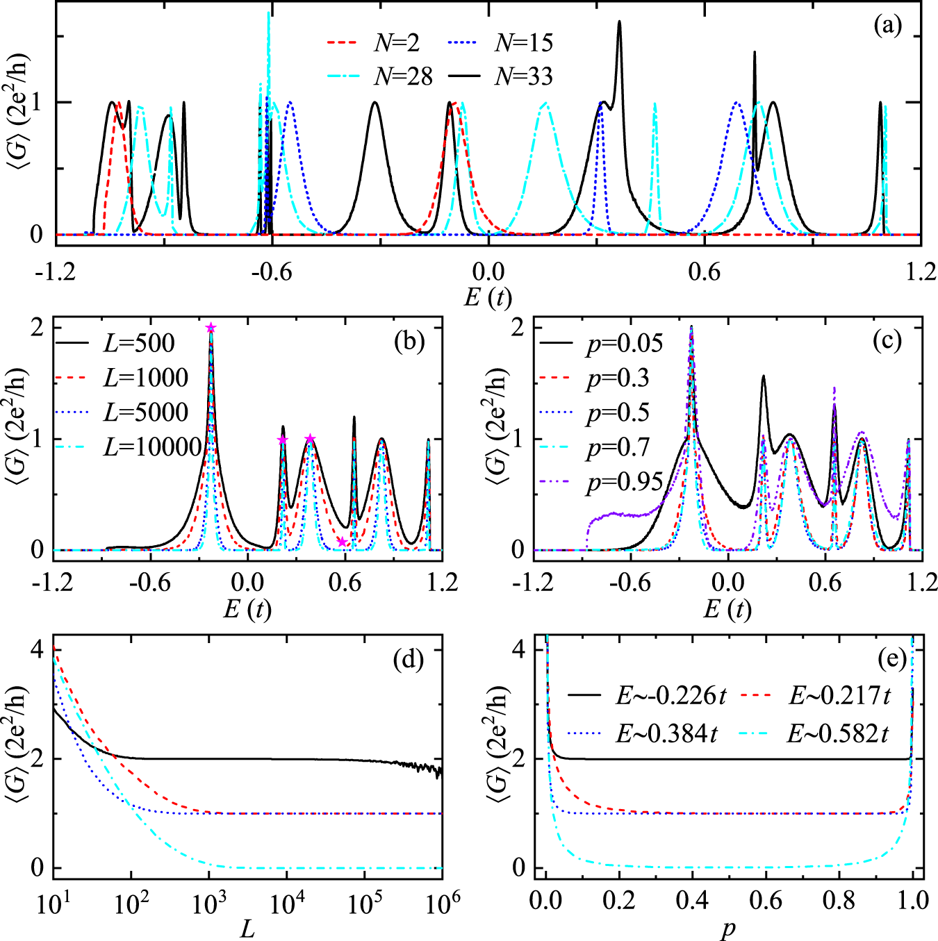
Fig. 3: Electron transport along disordered BNRs by considering inhomogeneous potential energies εi and hopping integrals tij, different lengths L, and ratios p.
From: Resonant tunneling in disordered borophene nanoribbons with line defects

a \(\langle G\rangle\) vs E for different N with inhomogeneous εi and tij. All these inhomogeneous model parameters are determined by the number of adjacent atoms29,30, i.e., \(\varepsilon _{{{\mathrm{a}}}} = \varepsilon _{{{\mathrm{e}}}} = \varepsilon _{{{\mathrm{u}}}} = \varepsilon _{{{\mathrm{x}}}} = - 0.098t\), \(\varepsilon _{{{\mathrm{b}}}} = \varepsilon _{{{\mathrm{d}}}} = \varepsilon _{{{\mathrm{v}}}} = \varepsilon _{{{\mathrm{w}}}} = 0.029t\), \(\varepsilon _{{{\mathrm{c}}}} = 0.4225t\), \(t_{{{{\mathrm{ab}}}}} = t_{{{{\mathrm{de}}}}} = t_{{{{\mathrm{uv}}}}} = t_{{{{\mathrm{uw}}}}} = t_{{{{\mathrm{vx}}}}} = t_{{{{\mathrm{wx}}}}} = 1.02t\), \(t_{{{{\mathrm{ac}}}}} = t_{{{{\mathrm{ce}}}}} = 0.895t\), \(t_{{{{\mathrm{ae}}}}} = t_{{{{\mathrm{ax}}}}} = t_{{{{\mathrm{eu}}}}} = t_{{{{\mathrm{ux}}}}} = 1.06t\), \(t_{{{{\mathrm{bc}}}}} = t_{{{{\mathrm{cd}}}}} = 0.92t\), and \(t_{{{{\mathrm{bd}}}}} = t_{{{{\mathrm{vw}}}}} = 0.955t\). \(\langle G\rangle\) vs E for b different L with p = 0.5 and for c typical p with L = 2000. d 〈G〉 vs L and e 〈G〉 vs p at the electron energies marked by the stars in b. The other model parameters in b, c are the same as Fig. 2a and N = 33.