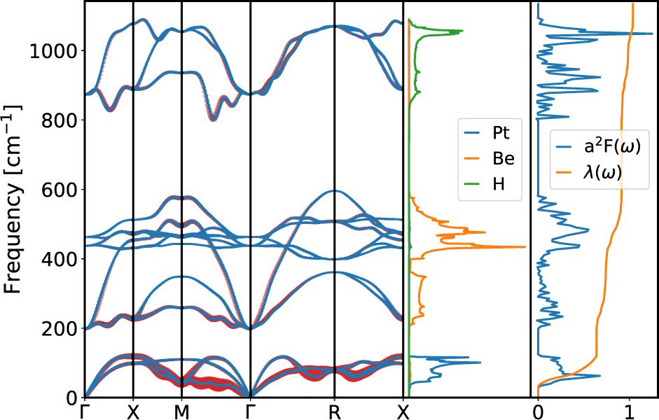
Fig. 3: Calculated phonon dispersion curves (left), projected phonon density-of-states (center), α2F(ω) and λ(ω) (right) for PtHBe3.

The red circles represent the phonon linewidths with radius proportional to the respective electron–phonon coupling strength.