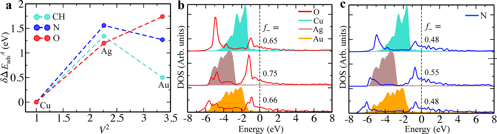
Fig. 2: Chemisorption on pure transition metal surfaces.

a DFT calculated adsorption energies of O, N and CH on Cu(111), Ag(111), and Au(111) as a function of the coupling matrix element (V2). Adsorption energies are shown relative to Cu. The coupling matrix elements are taken from Hammer et al.1,4. b, c p-projected density of states for O (red line) and N (blue line), respectively. The d-projected density of states for surface atoms on Cu(111), Ag(111), and Au(111) are shown in turquoise, brown, and yellow, respectively. The fractional filling (f−) of the resulting antibonding states are shown in each case (for details on how to determine f−, see Supplementary Note 1 and see Supplementary Figs. 1–4).