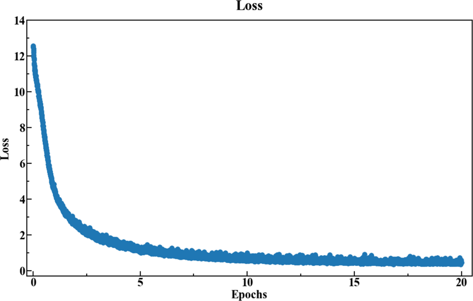
Fig. 6: The decreasing process of loss value on simulated STEM images during the training stage.

Epoch defines the number of times the learning algorithm works in the entire training dataset. Here it is set to 20. The loss value measures the difference between the network output images and the labeled images.