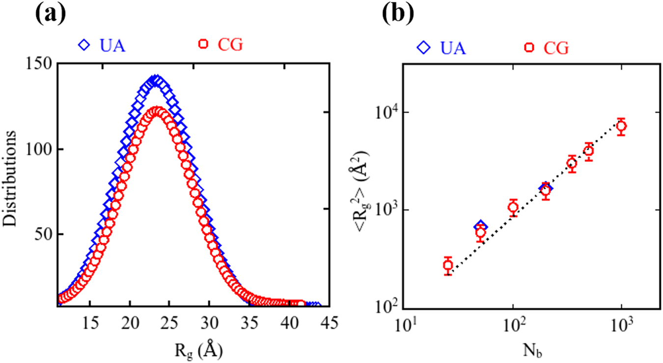
Fig. 1: Resulting chain statistics and structural comparison is shown.

a Distribution of radius of gyration Rg is shown for MLCG and UA system for the chain size Nb = Nm = 50. b The average-mean-squared radius of gyration \(\langle {R}_{{\rm {g}}}^{2}\rangle\) as a function of chain length Nb (T = 453 K). The diamond symbols represent data from united-atom systems. The dashed line indicates a fit of the power law, \(\langle {R}_{{\rm {g}}}^{2}\rangle \propto {{N}_{{\rm {b}}}}^{2\nu }\) with ν = 1/2 for ideal chains.