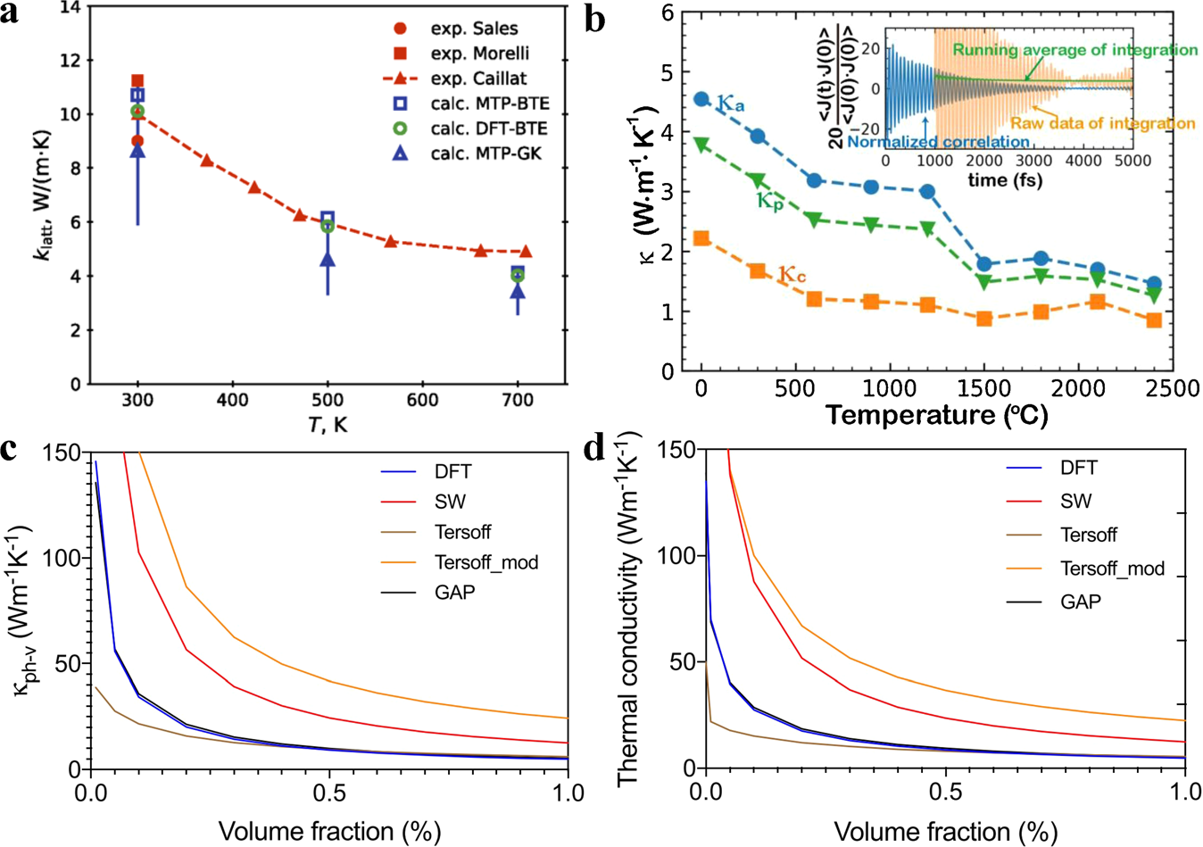
Fig. 6: Accurate prediction of lattice thermal conductivities by utilizing machine learning potentials.
From: Predicting lattice thermal conductivity via machine learning: a mini review

a Comparison of the calculated and experimentally measured κL of CoSb3. The vertical lines show doubled standard deviation of the results calculated by Green-Kubo method. Reproduced with permission from ref. 68. b The lattice thermal conductivities along two different directions (κa and κc) and their average value (κp) of (Ti0.2Zr0.2Hf0.2Nb0.2Ta0.2)B2, which are plotted as a function of temperature. The inset shows the auto-correlation function. Reproduced with permission from ref. 107. c κph-v and d κ3ph+ph-v of silicon with respect to vacancy concentration at 300 K, predicted by the DFT, GAP, and empirical potentials. Reproduced with permission from ref. 116.