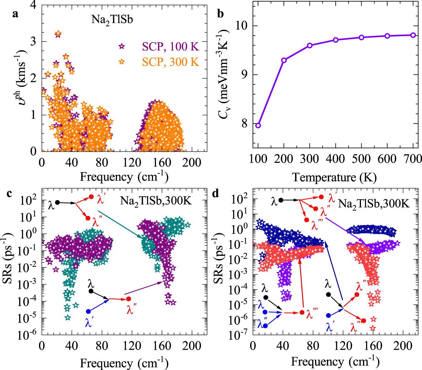
Fig. 3: Phonon transport parameter.

a The phonon group velocity υph at 100 and 300 K. b The calculated specific heats CV. c Decomposed 3ph scattering rates into the slitting (\(\lambda \to {\lambda }^{{\prime} }+{\lambda }^{{\prime\prime} }\)) and combination (\(\lambda +{\lambda }^{{\prime} }\to {\lambda }^{{\prime\prime} }\)) processes at 300 K. d Decomposed 4ph scattering rates into the splitting (\(\lambda \to {\lambda }^{{\prime} }+{\lambda }^{{\prime\prime} }+{\lambda }^{{\prime\prime\prime} }\)), redistribution (\(\lambda +{\lambda }^{{\prime} }\to {\lambda }^{{\prime\prime} }+{\lambda }^{{\prime\prime\prime} }\)), and combination (\(\lambda +{\lambda }^{{\prime} }+{\lambda }^{{\prime\prime} }\to {\lambda }^{{\prime\prime\prime} }\)) processes at 300 K. All of the above results were obtained using SCP method.