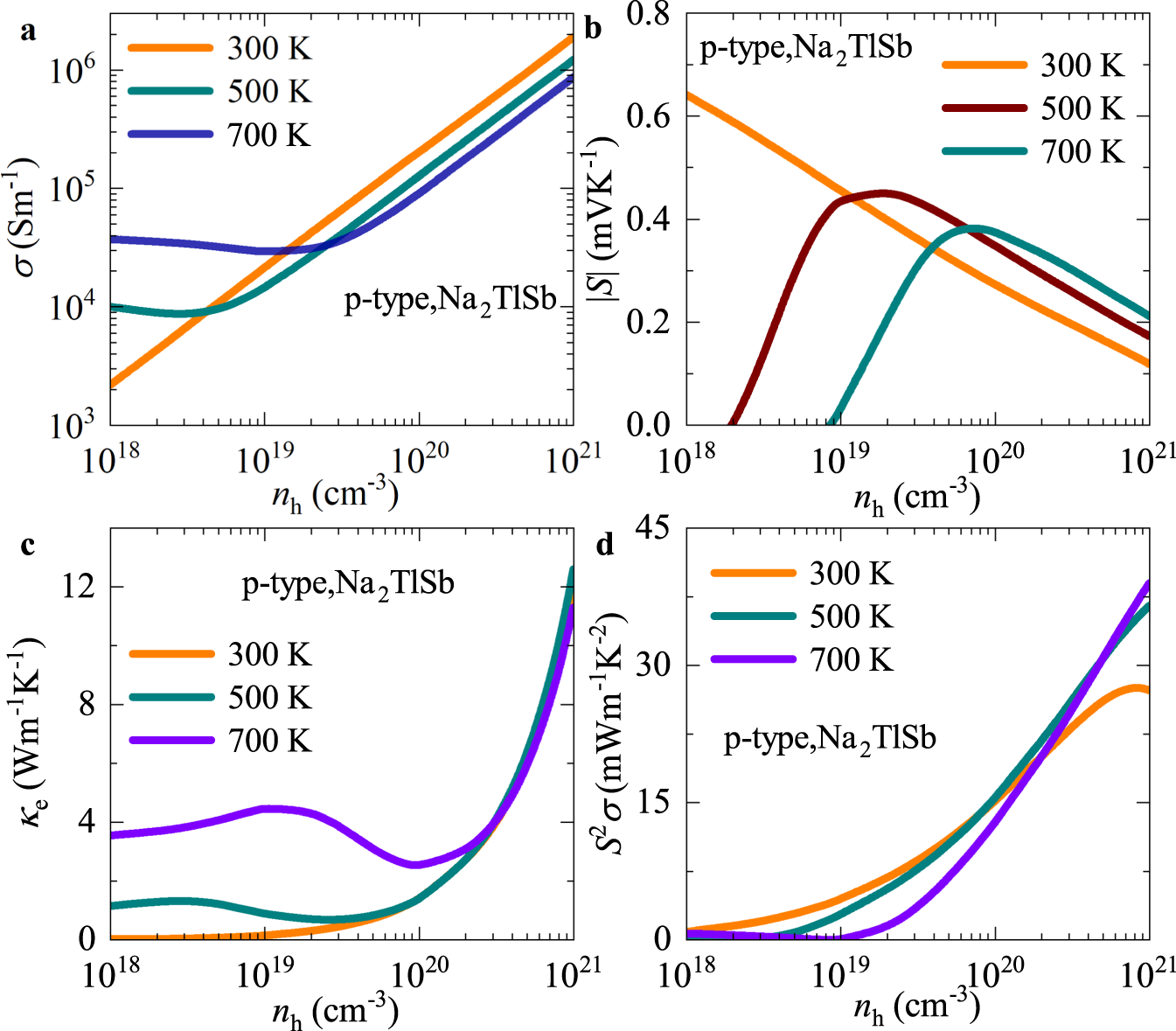
Fig. 6: Electronic transport parameters.

The calculated electronic transport parameters for p-type Na2TlSb at 300, 500, and 700 K. a Electrical conductivity σ. b The Seebeck coefficient ∣S∣. c The electronic thermal conductivity κe. d TE power factor. The SOC is also included in the calculations.