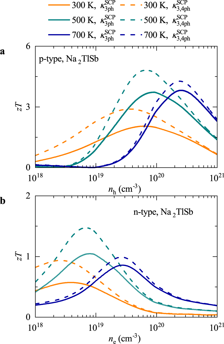
Fig. 8: TE performance.

The calculated TE figure of merit with the \({\kappa }_{{{{\rm{3ph}}}}}^{{{{\rm{SCP}}}}}\) and \({\kappa }_{3,4{{{\rm{ph}}}}}^{{{{\rm{SCP}}}}}\) for a p-type and b n-type Na2TlSb at 300, 500, and 700 K. The SOC is also included in the calculations.