Fig. 6: Applications of the special displacement method implemented in the ZG module.
From: Electron–phonon physics from first principles using the EPW code

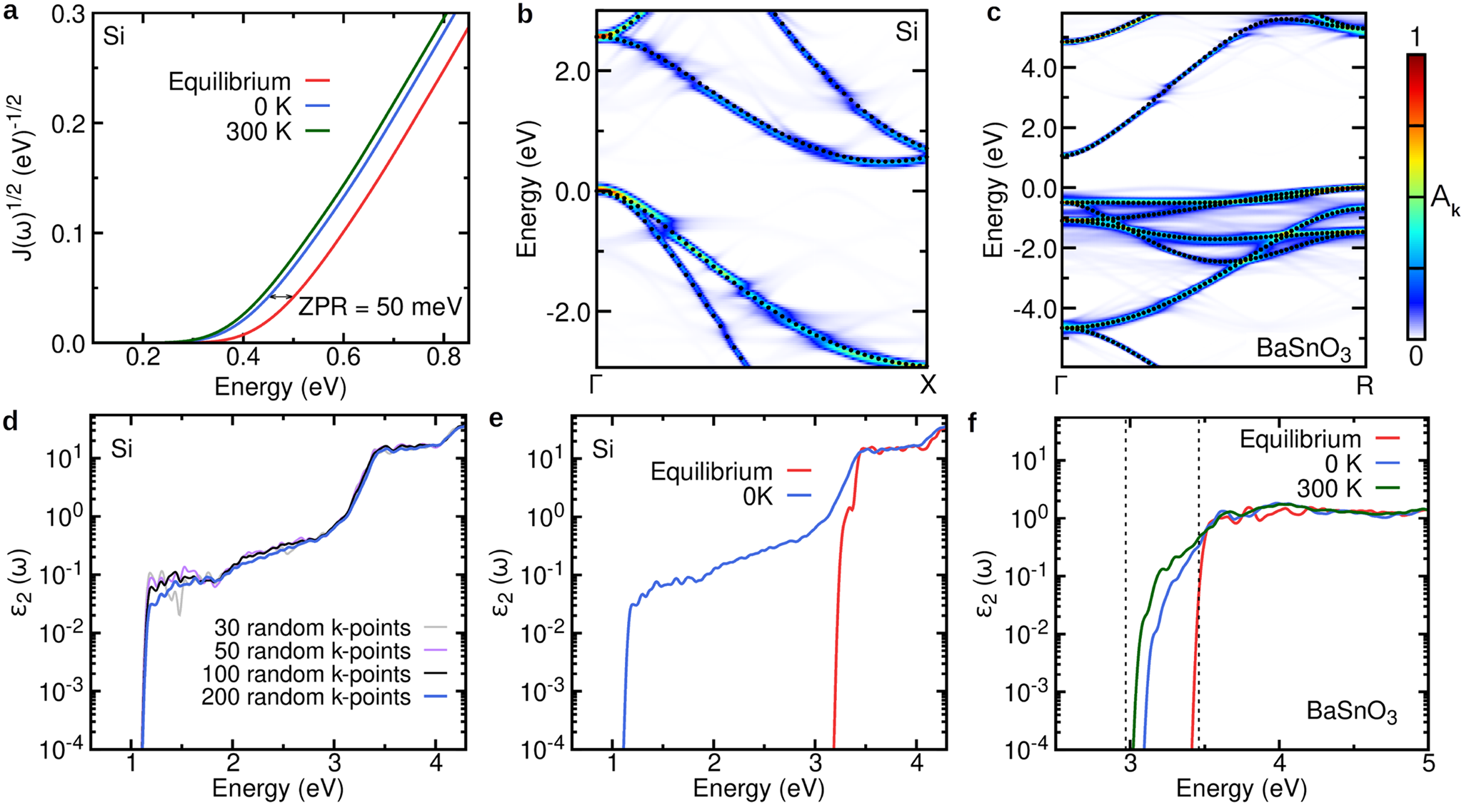
a Square root of the JDOS of silicon evaluated with atoms in the DFT ground-state structure (red); using special displacements at 0 K (blue); and using special displacements at 300 K (green). The red-shift of the JDOS with respect to the ground-state structure signals the quantum zero-point correction to the band gap (0 K curve) and its temperature renormalization (300 K curve), respectively. b Electron spectral function of silicon calculated with the special displacement method at 0 K, along the ΓX path in the Brillouin zone. The black disks indicate the band structures calculated in the crystalline unit cell with the DFT ground-state geometry. c Electron spectral function of BaSnO3 was calculated with the special displacement method at 0 K, along the ΓR path in the Brillouin zone. The black disks indicate the band structures calculated in the crystalline unit cell with the DFT ground-state geometry. d Convergence of the imaginary part of the dielectric function of silicon at 0 K with respect to the number of random K-points used to sample the Brillouin zone of the supercell. e Imaginary part of the dielectric function of silicon calculated with the atoms in the DFT ground-state structure (red), and by using special displacements at 0 K (blue). A scissor shift of 0.64 eV is employed to match the experimental gap225. f Imaginary part of the dielectric function of BaSnO3 calculated with the atoms in the DFT ground-state structure (red), and by using special displacements at 0 K (blue) and 300 K (green). The vertical dashed lines indicate the direct and indirect band gap energies. A scissor shift of 1.91 eV is employed to match the experimental gap226.