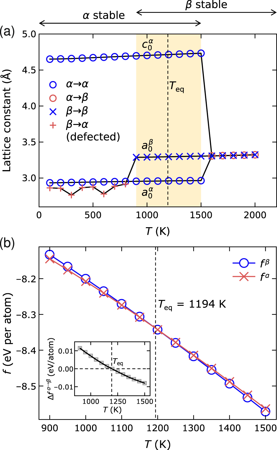
Fig. 1: Temperature dependences of the lattice constants and free energies of bulk α and β phases.
From: Coherent and semicoherent α/β interfaces in titanium: structure, thermodynamics, migration

a Lattice constant vs. temperature for the initial α (HCP) phase and β (BCC) phase. The red (blue) symbols denote the cases where the structure changes (does not change) upon relaxation at different temperatures. The yellow shaded region indicates the temperature range within which both α and β are stable/metastable. The dashed line indicates the equilibrium temperature of the two phases Teq obtained from (b). b The stress-free free energies per atom vs. temperature for bulk α (red crosses) and β Ti (blue circles). The inset shows the free energy difference Δfα→β ( ≡ fβ − fα) vs. temperature.