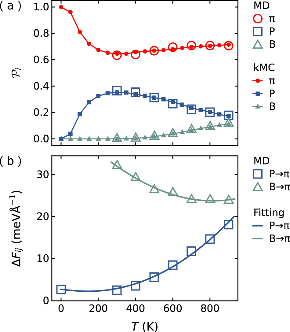
Fig. 4: The equilibrium probabilities of core structures and the free energy differences.
From: Finite-temperature screw dislocation core structures and dynamics in α-titanium

a The probabilities of the π (red circles), P (blue squares) and B (green triangles) cores obtained by the MD simulation (open symbols) and the kMC simulation (solid symbols). b The core energy differences, ΔFPπ (blue squares) and ΔFBπ (green triangles), obtained from the MD data in a. The solid lines are the fitting results based on the formula Equation (5).