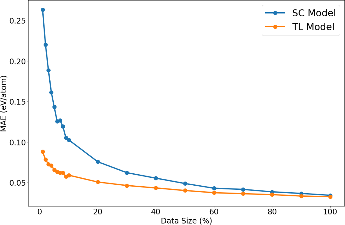
Fig. 3 | npj Computational Materials