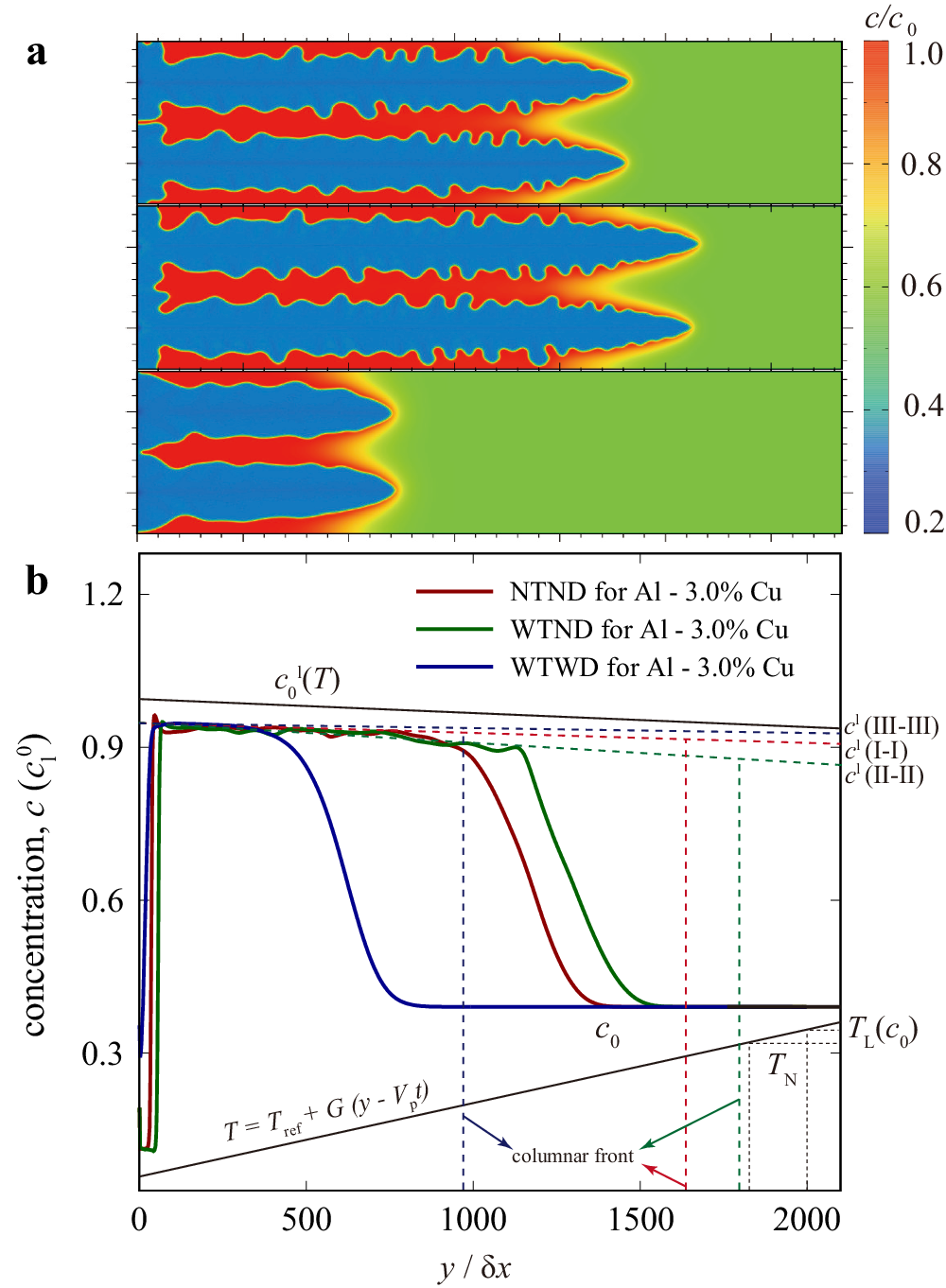
Fig. 17: Predicted microstructure and concentration profile for three conditions: NTND, WTND and WTWD.

a microstructure morphology and solute distribution; b concentration profile along line I−I, II−II, III−III and schematic illustration of the frozen temperature approximation.